Приложение Фундаментальные принципы физики

Данное приложение иллюстрирует тезис о том, что законы физики, управляющие нашим миром, являются весьма жесткой ментальной конструкцией, основанной на нескольких фундаментальных принципах, которые я и пытаюсь далее объяснить. Удивительно то, что принципы эти на первый взгляд совершенно не имеют в виду ни появление жизни, ни появление человека. Они абстрактны и красивы холодной интеллектуальной красотой. Тем не менее, как я уже говорил в основном тексте, именно такие законы обеспечивают стабильность сложных структур в нашей Вселенной, а значит, делают возможным и наше с вами существование. Поэтому человек присутствует в них как бы в скрытой форме и их абстрактность лишь кажущаяся.

Следующий ниже текст носит по необходимости довольно специальный характер, однако я надеюсь, что интеллигентный читатель сможет уловить сущность моих аргументов, даже не понимая математических деталей.

Универсальность законов природы

Этот принцип, пожалуй, является наиболее важным и обсуждался мною в основном тексте. Здесь я сформулирую его более формально. В физике законы природы выражаются в математической форме. Так вот, принцип универсальности гласит, что эта формулировка не должна зависеть от выбора системы координат в пространстве и времени (в физике это также называется выбором системы отсчета). Иными словами, законы природы должны формулироваться в форме инвариантной относительно выбора системы координат.

Поясню на простом примере. Возьмем прямоугольный ящик и нарисуем на одной из его сторон две точки. Так вот, расстояние между ними не зависит от того, какие из сторон ящика мы объявим шириной, длиной или высотой, выбор которых и является выбором системы координат. Утверждение типа «расстояние между точками А и Б равно расстоянию между точками В и Г» не зависит от того, какую системы координат мы выберем.

Пониманием принципа универсальности физика обязана Альберту Эйнштейну, который и положил этот принцип в основу теории относительности. По какой-то иронии судьбы многие считают, что эта теория про то, что «все относительно». На самом же деле она не о том, что меняется, а о том, что вечно.

Принцип наименьшего действия

Этот принцип является, пожалуй, следующим по важности и широте охвата. Начнем с его формулировки в классической механике. Рассмотрим пример: движение точечной частицы из точки А в точку В. Утверждается, что частица «выберет» такую траекторию движения, для которой величина S, называемая действием, является минимальной. Для точечной частицы массы т, движущейся со скоростью v (много меньшей скорости света) в поле с потенциальной энергией U(r), действие на траектории, соединяющей точки (t1, r1) и (t2, r2) определяется следующей формулой:

Оказывается, что условие минимума S достигается на траектории, определяемой вторым законом Ньютона:

Итак, принцип наименьшего действия в классической нерелятивистской механике эквивалентен закону Ньютона и на первый взгляд кажется лишним. Оказалось однако, что принцип этот намного более фундаментален, чем закон Ньютона, так как, в отличие от последнего, позволяет обобщение и на релятивистскую механику (то есть на движения со скоростями, близкими к скорости света), и на механику квантовую.

NB: В оставшейся части текста я не обсуждаю гравитацию.

Пространство-время

Следуя Эйнштейну, обобщим принцип наименьшего действия на движение частиц со скоростью, близкой к скорости света. Для этого нам нужно усвоить один фундаментальный факт, касающийся свойств пространства и времени. Факт этот состоит в том, что пространство и время образуют некое фундаментальное единство (его так и называют «пространственно-временный континуум»). Следствием является то, что время течет (точнее, часы идут) неодинаково в разных системах отсчета, например, время на Земле и в движущемся относительно нее космическом корабле течет по-разному (т. е. идут по-разному часы).

Эйнштейн показал, что инвариантом относительно замены системы координат в пространстве-времени является величина, называемая интервалом. Квадрат интервала между двумя бесконечно близкими событиями, происшедшими в точках (t, х, у, z) и (t + dt, х + dx, y + dy,z + dz) определен как

ds2 = c2dt2 — dx2 — dy2 — dz2,

где с — скорость света в вакууме (имеется в виду плоское пространство, так как гравитация здесь не обсуждается). Обратите внимание, что, так как время и пространство имеют разные размерности (первое измеряется в секундах, а второе — в метрах), складывать их друг с другом можно, только приведя их к какому-то единству, что и достигается умножением времени на скорость света. Присутствие такой скорости в этой инвариантной формуле означает, что скорость света есть мировая постоянная, не зависящая от системы отсчета.

Все математические операции преобразования четырехмерного пространства времени образуют группу, носящую имя Лоренца.

Теперь посмотрите, как красиво Эйнштейн выводит из принципа универсальности и инвариантности интервала действие для свободной частицы (то есть частицы в отсутствие внешних сил). Он рассуждал так: действие — просто число, то есть скаляр. Далее, это число зависит от траектории частицы во времени и пространстве. Раз законы природы не зависят от выбора системы отсчета, действие должно быть инвариантно относительно выбора координат. Что обладает такими свойствами? Интервал между двумя точками. Поэтому естественно предположить: что действие для движения частицы из одной точки пространства-времени в другую пропорционально интервалу между этими точками. Но действие имеет размерность энергии, умноженной на время, значит, естественно домножить интервал на массу частицы и скорость света. Вот итог:

(Для читателя, интересующегося тем, как эта более общая формула соотносится с формулой нерелятивистской механики, объясняю. На скоростях, много меньших скорости света, мы имеем:

Подставляя это выражение в формулу (3), получим:

Первый член при вариациях траектории не меняется, второй — такой же, как в нерелятивистской формуле (1).)

Все наблюдаемые нами физические величины, как то: массы и электрические заряды частиц, их скорости, напряженности электрических и магнитных полей и т. д. — могут быть классифицированы согласно тому, как они меняются (преобразуются) при переходе от одной системы координат к другой. В математике говорят, что физические величины классифицируются по представлениям группы Лоренца. Те, что не меняются, принадлежат к скалярному представлению; те, что меняются, как координаты, принадлежат к векторному представлению; те, что меняются, как произведения n координат, к тензорному представлению n-ного ранга.

Когда германский математик Генрих Минковский предложил такую классификацию, физики быстро разобрались с тем, какие из известных физических величин к какому классу относить. Например, такие величины, как масса и заряд, не меняются вообще, они — скаляры. А такие величины, как скалярный и векторный потенциалы электромагнитного поля, меняются по тем же правилам, что и сами координаты, и являются поэтому 4-векторами. А напряженности электрического и магнитного полей являются тензорами второго ранга. После того как все известное было расклассифицировано, оказалось, что среди представлений группы Лоренца есть так называемые спинорные представления, которым никаких известных физических величин не соответствует. Тогда английский физик Поль Дирак предположил, что по этим представлениям преобразуются волновые функции электронов (о волновых функциях см. ниже). Однако, для того чтобы эта гипотеза была справедлива, было необходимо, чтобы у электрона существовал двойник, во всем ему подобный, кроме знака электрического заряда. Эта гипотетическая частица была названа позитроном, а вскоре выяснилось, что гипотеза Дирака подразумевает существование таких двойников и у многих других частиц (протона, нейтрона и т. д.). Эти гипотетические двойники были названы античастицами; вскоре все они были открыты.

Думаю, что открытие целого нового мира — мира античастиц — есть один из величайших триумфов того стиля мышления в физике, который я пытался довести до читателя в этой книге. Я подчеркиваю, что предсказание, сделанное Дираком, не опиралось ни на какой эксперимент; Дирак, исходил исключительно из требований полноты математической теории. Поэтому открытие античастиц как нельзя лучше иллюстрирует связь между умным миром математики и миром природы. Скажу в заключение, что античастицы нашли практическое применение, например, в медицине (позитронное сканирование).

Калибровочная инвариантность

Этот исключительно важный физический принцип определяет, каким образом электрическое и магнитное поля взаимодействуют с полями материи (или, иначе говоря, с такими частицами, как электрон, протон и т. д.).

Принцип этот распространяется и на внутриядерные поля, но мы их здесь не обсуждаем. Поля материи преобразуются по спинорным представлениям, а вектор-потенциал электромагнитного поля — по векторному представлению группы Лоренца. Единственный способ составить из них скаляр — это «удлинить» пространственную производную, действующую на эти поля. Так, включение электромагнитного поля, действующего на частицу с электрическим зарядом q, эквивалентно замене всех пространственно-временных градиентов в выражении для действия этой частицы по следующему рецепту:

где А, А есть скалярный и векторный потенциалы электромагнитного поля.

Принципы квантовой механики

Законы движения микроскопических частиц формулируются иначе, чем тел макроскопических. В масштабах микромира теряют смысл такие понятия, как траектория движения. Про электрон можно сказать, что он движется одновременно по бесконечному количеству траекторий, каждой из которых можно приписать то, что называется амплитудой. Амплитуда есть комплексное число, для данной траектории она задается формулой

где S есть классическое действие на этой траектории, a h = 6.62 х 1034 дж/с — постоянная Планка. Вероятность того, что частица попадет из точки А в Б за данное время, задается квадратом модуля суммы амплитуд по всем возможным траекториям, соединяющим эти точки:

Так как комплексная экспонента является осциллирующей функцией, вклады от траекторий, чьи действия отличаются друг от друга на величину порядка постоянной Планка, взаимно сокращаются, и достаточно тяжелая частица «выбирает» из всей массы траекторий ту, на которой действие минимально. Так по мере утяжеления массы частиц роль квантовых эффектов уменьшается.

В заключение этого краткого экскурса в квантовую механику необходимо сказать о волновых функциях многих частиц. Оказывается, и этот поразительный факт имеет экспериментально верифицируемые последствия, а именно те, что частицы одинакового сорта неразличимы. То есть, например, все электроны во Вселенной совершенно одинаковы, и нельзя сделать такой эксперимент, чтобы отличить один электрон от другого. И вот все частицы делятся на два сорта, одни называются бозонами, другие фермионами. При перестановке координат бозонов их волновая функция не меняется, а когда меняются местами фермионы, их волновая функция меняет знак. Фермионы (протоны, нейтроны, электроны, нейтрино и множество других нестабильных частиц) преобразуются по спинорным представлениям группы Лоренца, а бозоны (фотоны и другие, менее известные частицы — переносчики внутриядерных взаимодействий) преобразуются по векторным представлениям.

Итак, мы сформулировали основные принципы физики, управляющие миром в масштабах, больших размера атомного ядра и меньших размера планеты. Это именно то, что имеет отношение к медитации «Разумная конструкция». Остался последний штрих: вывести из этих общих принципов теорию, управляющую организацией материи в этих масштабах. И она действительно выводится, что означает: законы физики являются очень жесткой конструкцией, которую невозможно изменить, не поплатившись при этом определенным набором принципов, красоту которых читатель, надеюсь, смог должным образом оценить.

Чтобы избежать излишних математических осложнений, я опишу эту «теорию всего» или, скорее, «теорию почти всего» в той форме, которая не берет во внимание релятивистские эффекты и поэтому пригодна только для описания соединений легких элементов, подобных водороду и гелию. Итак, волновая функция всех электронов и ядер такого сорта подчиняется уравнению Шредингера:

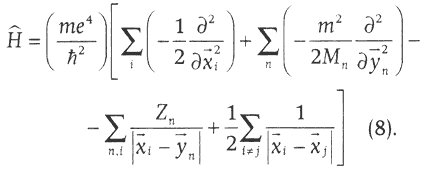
где оператор (Гамильтониан), действующий на координаты электронов и ядер, определен как

где Rn, r, обозначают координаты ядер и электронов, Мn, те — их массы, a Zn являются зарядами ядер. Уравнения (6), (7) и их релятивистские обобщения составляют основу теории материи. Давайте произведем замену переменных в (7), выразив все длины в атомных масштабах:

где х, у являются уже безразмерными величинами. В их терминах (7) выглядит так:

Сие означает, что все энергии пропорциональны, а выражение в квадратных скобках, не содержащее никаких размерных величин, зависит только от целых чисел Zn и безразмерных отношений теп, то есть, по сути дела, от отношений масс электрона и протона и электрона и нейтрона.

Таким образом, поскольку свободных параметров в теории практически нет, решить проблему устойчивости сложной материи путем их подгонки невозможно.

Более 800 000 книг и аудиокниг! 📚

Получи 2 месяца Литрес Подписки в подарок и наслаждайся неограниченным чтением

ПОЛУЧИТЬ ПОДАРОК