ГЛАВА 2 Гравитация и законы движения. «Математические начала натуральной философии»

Мысль о том, что одни и те же законы объясняют движение планет по орбитам и падение предметов на земле, Ньютон лелеял с того времени, как он, 20-летний, гулял по английским садам. Однако только в своей великой работе «Математические начала натуральной философии» ученый собрал воедино нити своих грандиозных прозрений.

В начале этой книги мы оставили Эдмунда Галлея по дороге в Кембридж к профессору Ньютону. Эта судьбоносная встреча произошла в августе 1684 года. Ньютон еще не считался гением, однако уже приобрел авторитет в английском научном сообществе.

О чем шла речь на этой встрече, мы знаем со слов Ньютона, рассказавшего о ней несколько лет спустя Абрахаму де Муавру (1667-1754). Этот французский математик и протестант, вынужденный покинуть родину и переселиться в Англию по религиозным причинам, позднее поведал о встрече Ньютона и Галлея следующее:

«Доктор Галлей спросил сэра Исаака Ньютона, какой могла бы быть кривая, описывающая движение планет, предполагая, что сила притяжения Солнца обратно пропорциональна квадрату расстояний. Сэр Исаак Ньютон мгновенно ответил, что они эллиптические. Удивленный доктор в большом возбуждении поинтересовался, откуда профессор это знает. «Потому что я это рассчитал», – ответил Ньютон; и Галлей попросил, чтобы тот скорее показал свои расчеты. Сэр Исаак Ньютон поискал в бумагах, но расчетов не нашел, однако пообещал, что сделает их заново и пошлет Галлею».

Это был типичный ответ Ньютона, который всегда с крайней неохотой делился своими открытиями. На самом деле ученый отнюдь не терял своих расчетов, он просто хотел еще раз подумать над проблемой движения планет и пересмотреть свои записи, прежде чем показывать их другим. Но в этот раз все вышло иначе: вопрос Галлея «поглотил ученого полностью, как ничто не поглощало его ранее», писал Уэстфол, и разжег его воображение до крайней степени.

При этом на свободу было отпущено не только воображение Ньютона, но и его огромная работоспособность. Любопытно, что ученый пытался, особенно в свои последние годы, создать о себе некую легенду, окружить себя мифологическим ореолом, для чего поощрял истории, анекдоты и мистификации со своим участием.

ЗВЕЗДНЫЕ МОМЕНТЫ В НАУКЕ

Два величайших звездных момента в науке – падение яблока на Ньютона и «Эврика!» Архимеда (на иллюстрации). Как писал Витрувий, римский архитектор I века до н.э., сиракузский тиран Гиерон II приказал изготовить новую золотую корону в форме триумфального обруча из золотых ветвей, который водружали на голову в знак отличия военачальнику-победителю, входившему в Рим. Чтобы узнать, действительно ли корона сделана из чистого золота или недобросовестный ювелир добавил в нее серебра, но при этом не переплавлять и не портить вещь, Гиерон пригласил Архимеда. Ученый не знал, как выполнить пожелание правителя, особенно учитывая, что ему было запрещено расплавить украшение, чтобы вычислить его массу и объем (а значит, и плотность) и выяснить таким образом, совпадает ли она с плотностью золота. Однажды, принимая ванну, Архимед заметил, что уровень воды поднялся, когда он в нее вошел. Тогда ученый подумал, что с короной можно сделать то же самое: погруженная в воду, она вытеснит количество жидкости, равное своему объему. Разделив вес короны на объем вытесненной воды, можно узнать плотность короны. Поняв, насколько простым оказался ответ в поставленной задаче, Архимед выбежал, не одеваясь, на улицу и радостно закричал: «Эврика!» (на древнегреческом это означает «Нашел!»). Вероятно, это все же вымышленная история, потому что описанный метод измерения требовал бы высокой точности. Более того, упоминания о нем нет ни в одной из известных работ Архимеда. Но в своем трактате «О плавающих телах» изобретатель описывает принцип гидростатики, согласно которому на тело, погруженное в жидкость, действует выталкивающая сила, равная массе объема вытесненной жидкости. Как бы то ни было, этот принцип сегодня известен по имени гениального греческого ученого.

ПАДЕНИЕ ЯБЛОКА

Поразительная простота известной истории с яблоком помогла представить Ньютона гениальной личностью. Нечто похожее уже произошло раньше с Архимедом.

Возможно, Ньютон очень хорошо понял, что ореол гениальности, который с незапамятных времен окружает греческого ученого, связан не только с его потрясающими открытиями, но и с некоторыми легендами. Самая знаменитая из них – легенда об «Эврике», но кроме нее существуют и другие. Ньютон также смог найти не менее изящный сюжет – историю с яблоком. Мы говорим «смог найти», потому что именно сам Ньютон уже в возрасте 70 лет начал рассказывать этот анекдот всем окружающим. Сохранились четыре независимые версии легенды, и все они были рассказаны самим Ньютоном уже в старости. Одним из вариантов ученый поделился с Уильямом Стьюкли, своим соотечественником, который занимался составлением его биографии. Естественно, Стьюкли включил легенду в свою книгу «Жизнь Ньютона» (1752):

«Было жарко, и после обеда мы с сэром Исааком Ньютоном пошли в сад выпить чаю; под тенью яблонь мы остались вдвоем. Мы разговаривали, и он рассказал, что именно в таком месте ему пришла в голову идея притяжения. На эту мысль его навело упавшее яблоко. Почему яблоко всегда падает перпендикулярно земле, спросил себя Ньютон. Почему оно не падает в другом направлении или не летит вверх? Наверняка причина в том, что его притягивает Земля. Должна существовать сила тяготения материи, и сущность силы тяготения всей материи на Земле должна находиться в центре Земли, а не где-либо еще. Поэтому яблоко падает перпендикулярно, то есть к центру Земли. Если материя притягивает другую материю, это должно происходить пропорционально ее количеству. Таким образом, яблоко притягивает Землю, как Земля притягивает яблоко».

Из этого рассказа создается впечатление, что как только Ньютон увидел падающее яблоко, сразу же в его голове со всей ясностью предстала динамика планетарного движения. Это же стремление выдвинуть на первый план романтизированную сторону своего гения, а не предстать обычным неутомимым тружеником ученый демонстрирует и в других описаниях обстоятельств, которые сопровождали некоторые его открытия.

В главной работе Ньютона, «Математические начала натуральной философии», обнаруживается отличие между этими выдуманными гениальными озарениями и продолжительной работой, необходимой, чтобы сформировать зерно идеи, очистить ее, оставив лишь главное, избавиться от пустых предположений и ошибок, окружить ее другими мыслями, пока с помощью тяжелого труда и опираясь на имеющиеся научные достижения не придешь к настоящему открытию. Однако именно таков реальный образ Ньютона-ученого, и он противоречит романтическому образу гения, который сам Исаак Ньютон пытался нарисовать. Ведь ничто лучше подробностей проделанной работы не объяснит одно из самых великих научных открытий – закон всемирного тяготения. В редких случаях сам Ньютон все-таки отдавал себе должное: в письме, датированном 10 декабря 1692 года, он признается, что созданием своего фундаментального труда «Математические начала натуральной философии» он обязан лишь «трудоспособности и терпеливому размышлению».

Чтобы увидеть полную картину, оставим Ньютона проверять свои расчеты после встречи с Галлеем в августе 1684 года, а сами вернемся в год 1543-й, без сомнений, символичный в истории науки.

ДВА РАЗНЫХ ОБРАЗА ГЕНИЯ

«Архимед, развлекаемый сиреной, – писал Плутарх в своих „Сравнительных жизнеописаниях", – забывал о пище и не заботился о себе. Когда его силой заставляли умаслить свое тело и помыться, он был занят лишь своими геометрическими фигурами, рисуя их в воздухе, не помня себя, как будто музы овладели всем его существом, в высшем удовольствии, которое приносило это занятие». Этот рассказ, в котором Архимед предстает перед нами довольно легкомысленным и ребячливым, послужил основой для более пуританской версии Ньютона: «Не знаю, что может казаться людям,- сказал он однажды, – но я смотрю на себя как на ребенка, который, играя на морском берегу, нашел несколько камешков поглаже и раковин попестрее, чем удавалось другим, в то время как великий океан истины продолжает хранить от меня свои тайны».

КОПЕРНИК И КЕПЛЕР

В 1543 году в Нюрнберге была опубликована книга De revolutionibus orbium coelestium («О вращении небесных сфер»), название которой возвестило начало эпохи научных потрясений; не зря период с этого момента и до конца XVII века – времени публикации «Математических начал натуральной философии» Ньютона – назвали научной революцией. Эта революция затронула самые разные области знания и поставила под сомнение прежнюю суть науки, возведя в новую степень важность практического опыта и подчинив теоретические достижения экспериментальным данным. В конце этого процесса (и Ньютон наряду с Коперником, Кеплером, Галилеем и Декартом был одним из его великих мастеров) возникла новая наука в своей теперешней форме.

Автором упомянутой книги-прорыва был Николай Коперник (1473-1543). Легенда гласит, что первый напечатанный экземпляр De revolutionibus он держал в руках на своем смертном одре, готовясь покинуть этот мир 24 мая 1543 года.

До этого момента астрономия, унаследованная от Античности, утверждала, что Земля неподвижна и располагается в центре Вселенной. Вокруг нее обращаются семь планет: Луна, Меркурий, Венера, Солнце, Марс, Юпитер и Сатурн (по расстоянию до Земли, от меньшего к большему, хотя не было единого мнения по тому поводу, в каком порядке следовало расположить Меркурий, Венеру и Солнце), а также неподвижные звезды, расположенные на сферической поверхности, которая представлялась крайним пределом Вселенной.

Неподвижные звезды совершают ежедневный оборот вокруг Земли без видимых различий между одними сутками и другими, чего не происходит с промежуточными телами. Например, Солнце не проходит каждый день один и тот же путь, хотя кажется, что каждые 365 дней он повторяется. Если каждый день на закате Солнца мы отметим на фоне звездного неба точное место, где светило коснулось горизонта, мы увидим, что эта точка будет продвигаться примерно на один градус на восток, совершая полный цикл к концу года. Этот ежегодный путь Солнца, вокруг которого группируются зодиакальные созвездия, называется эклиптикой, и она была воображаемой базовой линией, которая использовалась в птолемеевской астрономии для объяснения движения Солнца, Луны и планет. Хотя движение последних не зависело друг от друга и сопровождалось сложными отклонениями, например ретроградацией.

Если я и мог смотреть вдаль, так это потому, что стоял на плечах гигантов.

Исаак Ньютон в письме 1676 года Роберту Гуку

Большой астрономический сборник с подробным описанием движения планет имел название «Альмагест» и был составлен греческим ученым Птолемеем. Для физического объяснения планетарного движения использовалась аристотелевская космология: каждая планета вписывалась в кристаллическую сферу, которая без остановок вращалась вокруг Земли.

Это космогоническое представление было полностью воспринято средневековыми схоластами. Во Вселенной у каждой вещи есть свое место и у каждого места – своя вещь. Существование пустоты не признавалось; так, ад находился в центре Земли, а Эмпирей, где физически пребывает Бог, прямо за сферой неподвижных звезд. Аристотелево-схоластическое восприятие космоса было воспето Данте Алигьери в «Божественной комедии». Эта эпическая поэма описывает Рай, разделенный на девять небес, расположенных по ангельской иерархии: Луна (обитель исполняющих обеты), Меркурий (обитель честолюбивых), Венера (обитель возлюбленных), Солнце (обитель мудрых), Марс (обитель воителей за веру), Юпитер (обитель справедливых правителей) и Сатурн (обитель созерцателей). Перводвигатель – самая дальняя из всех сфер, ее наполняют статичные звезды, а ее движение управляется Богом. Вокруг всего этого располагается Эмпирей, «обитель Бога и всех избранных» – место, не ограниченное пространством, не созданное из материи и вечно неподвижное.

Это космологическое объяснение устанавливало четкую границу между неизменным и идеальным небесным миром – Вселенной, которая тянется далеко за пределы земной атмосферы, и переменчивым и неидеальным земным пространством, находящимся под атмосферой. Естественно, этими мирами управляли разные физические законы.

ПЕРИГЕЛИЙ, АФЕЛИЙ И ЭКЛИПТИКА

Перигелий – это ближайшая к Солнцу точка орбиты небесного тела. И наоборот, афелий – это самая удаленная от Солнца точка орбиты (рисунок 1). Например, Земля достигает своего перигелия каждый год в начале января, когда расстояние до Солнца составляет примерно 147 миллионов километров, в то время как при достижении афелия это расстояние составляет около 152 миллионов километров. Феномен наблюдается только на эллиптических орбитах, когда Солнце находится в одном из фокусов эллипса, а не на круговых, где Солнце находится в центре.

Эклиптикой называется воображаемая линия движения Солнца за год по отношению к неподвижному полю звезд. Образуется пересечением проекции земной орбиты с небесной сферой. Когда солнечный свет падает перпендикулярно 23°27‘ северной широты, он попадает на Тропик Рака (21 июня), когда падает перпендикулярно 23°27‘ южной широты – на Тропик Козерога. Это максимальный и минимальный угол, который занимает Солнце, двигаясь по небу. Эклиптика определяет воображаемую плоскость земной орбиты. Она наклонена на 23°27‘ по отношению к экватору Земли (рисунок 2). Другие планеты не расположены в этой плоскости.

РИС. 2

Аристотелева физика основывалась на доктрине о четырех элементах греческого философа Эмпедокла. Эта теория подразумевала, что существуют четыре основные субстанции: огонь, земля, воздух и вода, на которые действуют любовь, их объединяющая, и ненависть, которая их разделяет. Четыре элемента, смешанные в различных пропорциях, создают все сложные вещи и материи, существующие в подлунном мире, а то, что находится на небе, – это пятая субстанция, или эфир. Таким образом, каждый из элементов имеет свое естественное положение во Вселенной: место земли, например, в центре Вселенной, в то время как место огня – промежуточное между атмосферой и сферой, которую занимает Луна. Элементы, из которых состоит любое тело, стремятся вернуться на свое изначальное место. Твердые вещества, над которыми главенствует земля, падают вниз, потому что земля стремится к своему естественному расположению, в центр Вселенной, а, например, пламя, над которым главенствует огонь, поднимается вверх, также в поиске своего естественного места, которое в этом случае находится в верхних слоях атмосферы.

В своей книге «О вращении небесных сфер» Коперник предлагал новую астрономию, основанную на неподвижном Солнце, расположенном в центре Вселенной, в то время как Земля и другие планеты оборачиваются вокруг своей оси каждый день, и вокруг Солнца – раз в год. Единственная планета, которая вращается вокруг Земли, – это Луна. В теории Коперника оставалась звездная сфера, но теперь она была неподвижной. Однако подобный подход ставил множество вопросов как в области астрономии и космологии, так и в физике.

Коперник попытался дать ответ на некоторые из них в своем труде «О вращении небесных сфер», используя при этом аргументы Аристотеля. Вероятно, по-другому быть не могло: чтобы полностью перевернуть концепцию мира, необходимы совместные усилия многих ученых. Коперник дал первый импульс, предложил альтернативу птолемеевой астрономической модели. После этого пришло время решать проблемы, возникшие как последствия космологических и физических теорий, и преодолевать неизбежное противостояние с католической церковью, развязанное идеей о движущейся Земле.

Требовалось время, чтобы астрономические идеи Коперника пробили себе дорогу в науке. Ему приходилось бороться с религиозными предубеждениями, и в этом сражении легко было проститься с жизнью. Сначала против ученого выступили воинствующие протестанты: неподвижное Солнце и блуждающая Земля противоречат Библии. Однако вскоре они заняли более прагматическую позицию: предложение Коперника – это всего лишь рабочая гипотеза, которая может и не подтвердиться. Однако за этим последовал взрыв гнева в католической церкви и инквизиции. Книга Коперника вошла в перечень запрещенных, Джордано Бруно за поддержку его теории был сожжен на костре, а Галилею едва удалось спастись. До сих пор существуют трения между наукой и религией, особенно в части новых открытий, которые могут противоречить традиционному прочтению Библии, Корана или какой-либо еще священной книги.

РЕТРОГРАДАЦИЯ ПЛАНЕТ

Одним из преимуществ теории Коперника по сравнению с идеями Птолемея была простота. Новая теория объясняла необыкновенный феномен – кажущуюся ретроградацию планет. При наблюдении с Земли планеты движутся с запада на восток, за исключением кратких периодов, когда они меняют направление с востока на запад, как будто пятясь назад по своему пути – это то, что называется ретроградным движением планет. Такая ретроградация происходите определенной периодичностью: Меркурий становится ретроградным каждые 116 дней, Венера – каждые 584 дня, Марс – 780, Юпитер – 399, а Сатурн – 378 дней. В птолемеевой системе требовалось бы множество геометрических действий, чтобы вписать планетарную аномалию в картину неба. А по теории Коперника эта нерегулярность движения была лишь кажущейся, результатом наблюдения с Земли, которая сама находится в движении. Коперник объяснил, что ретроградация – не что иное, как наблюдаемый эффект, видимый, но не соответствующий действительности. Он связан с тем, что планеты, более близкие к Солнцу, чем Земля, проходят свои орбиты за меньший отрезок времени и обгоняют при этом Землю, а затем начинают движение по орбите в обратном направлении, что и видится с нашей планеты как возвратное движение.

ПОЛОЖЕНИЕ ПЛАНЕТ СОГЛАСНО КОПЕРНИКУ

Теория Коперника была более полной, чем теория Птолемея, поскольку его модель была способна упорядочить планеты в соответствии с их отдаленностью от Солнца, а птолемеева модель выстраи- вала планеты по времени, необходимому для прохождения эклиптики. Однако таким методом невозможно объективно определить расположение Меркурия, Венеры и Солнца: все они проходят эклиптику приблизительно за год. А если, напротив, иметь в виду, что Земля огибает Солнце за год, а ретроградация планет происходит, когда их траектории пересекают прямую, соединяющую Землю и Солнце, то становится возможным рассчитать длительность планетарных орбит, что и сделал Коперник. В действительности мы знаем, что Меркурий становится ретроградным каждые 116 дней, и поскольку Земля проходит свою орбиту за 365 дней, за это время как Земля, так и Меркурий проходят 116/365 своей орбиты; кроме этого, Меркурий делает еще один оборот, прежде чем стать ретроградным,- это происходит когда планета, Солнце и Земля лежат на одной прямой. Таким образом, мы приходим к уравнению:

1+116/365=481/365

Значит, Меркурий проходит свою орбиту 481/365 раза каждые 116 дней, и простое вычисление дает нам время прохождения орбиты, равное 88 дням. Составив такое же уравнение для Венеры, которая становится ретроградной каждые 584 дня, мы получаем, что ей на прохождение своей орбиты потребуется 225 дней. Таким образом, порядок по отношению к Солнцу таков: Меркурий, Венера, Земля, Марс, Юпитер и Сатурн.

Христианство, иудаизм или ислам настаивают на непреложности истин, описываемых в священных книгах. Научное видение, в свою очередь, таких истин не признает. Ценность любой научной теории определяется только соответствием гипотезы или идеи наблюдениям в природе. В этом смысле религия дает непреложные ответы, которые следует воспринимать некритично; наука, напротив, ставит временные гипотезы, которые могут меняться и обогащаться благодаря критическому мышлению. Эта научная концепция стала плодом революции, которую пережила наука от Коперника до Ньютона.

Теория Коперника была вынуждена противостоять двум концепциям: религиозной, с одной стороны, и традиционной научной – в этом случае схоластической – с другой. И хотя новая теория была более простой, более полной, хотя она идеально упорядочивала планеты в соответствии с их отдаленностью от Солнца и отличалась изяществом, она, тем не менее, не была точнее теории Птолемея, так как Коперник держался за платоновскую гипотезу о том, что планеты должны двигаться по окружностям с постоянной скоростью. Эта гипотеза, унаследованная от греков, вынуждала ученого усложнить свою теорию, чтобы привести ее в соответствие с наблюдениями.

Почти три десятилетия спустя после смерти Коперника родился Иоганн Кеплер (1571-1630), математик и астроном, который придал нужное направление революции, начатой Коперником, и включил в его систему новую порцию революционных идей. Кеплер раскрыл тайну планетарного движения при помощи точных астрономических таблиц, разработанных датским ученым Тихо Браге (1546-1601) во второй половине XVI века. Им при этом двигала несокрушимая вера в простое и изящное строение Вселенной и опора на расчеты. Кеплер решил задачу, сформулировав три закона. Первые два, описанные в его книге «Новая астрономия» (Astronomi nova) (1609), утверждают, что:

– каждая планета Солнечной системы обращается по эллипсу, в одном из фокусов которого находится Солнце;

– каждая планета движется в плоскости, проходящей через центр Солнца, причем за равные промежутки времени радиус-вектор, соединяющий Солнце и планету, описывает равные площади.

Орбиты, рассчитанные на основе этих двух законов, идеально подтверждались наблюдениями, доступными в то время. Третий закон Кеплера был выведен десять лет спустя и описан в его книге «Гармония мира» (Harmonices mundi) (1619); в его основе лежат количественные расчеты, до тех пор не применявшиеся в астрономии. Закон утверждает, что квадраты периодов обращения любых двух планет вокруг Солнца пропорциональны кубу их средних расстояний до Солнца. Теория Коперника, дополненная законами Кеплера, превосходила геоцентрическую теорию в простоте, изяществе и точности. И теперь в соответствии с законами Кеплера следовало объяснить, что заставляет планеты двигаться вокруг Солнца.

ТРИ ЗАКОНА КЕПЛЕРА

Астрономическая модель Кеплера заключается в трех законах, которые математически описывают движение планет по своим орбитам вокруг Солнца. Первый закон гласит: каждая планета Солнечной системы обращается по эллипсу, в одном из фокусов которого находится Солнце. Эллипс определяется как совокупность точек поверхности, которые соответствуют условию l1 + l2 = константа (рисунок 1). Второй закон гласит: каждая планета движется в плоскости, проходящей через центр Солнца, причем за рав- ные промежутки времени радиус-вектор, соединяющий Солнце и планету, описывает равные площади. Закрашенные зоны одинаковой площади преодолеваются за одинаковые промежутки времени. За одно и то же время на участке, закрашенном темно-се- рым, планета должна пройти дугу эллипса большей длины, чем на светло-сером участке (рисунок 2). Третий закон, изложенный десять лет спустя, гласит: квадраты периодов обращения планет вокруг Солнца относятся как кубы больших полуосей орбит планет. Время, которое планета затрачивает на прохождение орбиты (период T), пропорционально большей полуоси R, возведенной в степень 3/2 (рисунок 3).

РИС.1

РИС. 2

РИС.3

ОТ ГАЛИЛЕЯ ДО НЬЮТОНА

По мере укрепления идей Коперника на смену аристотелевой физике пришла количественная динамика, представленная Галилеем (1564-1642). Галилей защищал новую концепцию науки, основанную на сочетании эксперимента и математических размышлений. Эта концепция обобщена в его изречении:

«Философия написана в великой книге Вселенной, всегда открытой перед нашими глазами. Но ее невозможно прочитать, не понимая ее языка и символов. Эта книга написана на языке математики, а буквы в этом языке – треугольники, круги и все геометрические фигуры. Без этих средств невозможно человеку понять ни слова, без них мы тщетно блуждаем в темном лабиринте».

Вернейшим доказательством его идей стала главная работа Ньютона «Математические начала натуральной философии». В качестве примера новой науки Галилей стал изучать траектории падения тел. Он показал, что вопреки утверждениям Аристотеля время падения тел не зависит от их размера и маcсы. Вряд ли можно считать достоверной популярную историю о том, что Галилей сбрасывал свинцовые шары с Пизанской башни. Для экспериментов он использовал наклонные поверхности, которые позволяли более точно корректировать время падения. Он же открыл общий закон ускорения, действующий при падении тел, и подтвердил идею о параболической траектории, по которой движутся снаряды.

Галилей не изобретал телескоп, но он стал первым, кто направил его в небо и правильно описал увиденное. Наблюдения ученого – лунные горы, спутники Юпитера, пятна на Солнце, фазы Венеры – стали мощным подтверждением теорий Коперника. Католическая церковь предупредила Галилея, что тот вступает на опасную почву. Ученый, находившийся в дружеских отношениях с папой римским, недооценил серьезность предупреждения, однако в 1632 году, когда увидела свет его работа «Диалог о двух главнейших системах мира – птолемеевой и коперниковой» (Dialogo sopra i due massimi sistemi del mondo, tolemaico e copemicano), он был подвергнут инквизицией постыдному судебному процессу и едва не простился с жизнью. Несмотря на то что Галилею на тот момент уже было почти 70 лет, его принудили встать на колени и клятвенно отречься от своего мнения о движении Земли, а также приговорили к пожизненному тюремному заключению – которое папа заменил на домашний арест, – запретив писать и получать письма без специального разрешения. Приговор также включал еженедельную обязанность на протяжении трех лет читать семь покаянных псалмов.

Труд Галилея также попал в список запрещенных книг. В своих «Диалогах» он ввел термин «инерция», очень важный для понимания динамики Солнечной системы. Ньютон использовал его в своем первом законе механики.

Часто говорят о символическом совпадении: дескать, Ньютон родился в год смерти Галилея, в 1642-м. Пусть сохранится подобная символичность, объединяющая этих двух гениев. Второй из них – Ньютон – покажет, что причины, по которым планеты остаются на своих орбитах, а пушечное ядро летит по параболической траектории, – одни и те же.

ЗАГАДОЧНОЕ БЛУЖДАНИЕ ПЛАНЕТ

Путь Ньютона к написанию «Математических начал натуральной философии» был длинным и начался во время его вынужденного затворничества в родном доме, куда он вернулся из-за закрытия университета в связи с эпидемией чумы 1665 года.

В первые месяцы после приезда в Вулсторп ученый все свое время посвящал математическим размышлениям, на основании которых он вывел принцип анализа бесконечно малых. Окончательно этот принцип будет оформлен через три-четыре года. В начале 1666 года Ньютон стал также заниматься вопросами, связанными с механикой. Вдохновленный трудами Декарта и Галилея, он начал разрабатывать то, что позже назовет принципом инерции: тело продолжает сохранять состояние движения, пока на него не действуют другие силы.

Вслед за Декартом Ньютон начал изучать круговое движение и попытался решить задачи, поставленные теорией Коперника и касающиеся движения Земли и других планет, – они были собраны Галилеем в его «Диалогах». Ньютон поставил вопрос о движении планет в рамках декартовой теории вихрей, которую он самостоятельно изучил в годы, предшествующие учебе в Кембридже. Он исходил из закона прямолинейной инерции и пары «притяжение – центробежная сила» для изменения прямых траекторий, так же, как это сделал нидерландский астроном и математик Христиан Гюйгенс (1629-1695). Гюйгенс первым количественно выразил стремление тел удаляться от центра при круговом движении. В своей работе «О центробежной силе» (De vi centrifuga), опубликованной в 1673 году, он назвал эту тенденцию центробежной силой и с ее помощью пытался объяснить такие природные феномены, как движение света и притяжение тел. Таким образом, сначала Ньютон придавал большее значение стремлению планет отдаляться (центробежная сила), чем силе притяжения Солнца. Использовав третий закон Кеплера, он смог открыть, что центробежные силы, порождаемые планетами, изменялись обратно пропорционально квадрату их расстояний до Солнца.

ЛУННЫЕ ГОРЫ

В своей работе «Звездный вестник» (Sidereus Nuncius) (1610), проведя серию наблюдений при помощи телескопа, Галилей заявил, что на Луне существуют горы, опровергнув таким образом тезис Аристотеля о том, что небо совершенно, а Луна – это гладкая и неизменная сфера. Другие наблюдения ученого из Пизы, свидетельствующие в пользу тезисов Коперника, были следующими: сезонные изменения пятен на Солнце подтверждают, что ось вращения Солнца наклонена; звезды не увеличиваются в размере (что, напротив, происходит с планетами), и это доказывает гипотезу о существовании огромного расстояния между Сатурном и неподвижными звездами; у Юпитера есть спутники (возможно, это самое значительное открытие Галилея), и это означает, что не все небесные тела вращаются вокруг Земли; фазы Венеры, связанные с изменением размера звезды, доказывают, что она вращается вокруг Солнца.

Слева – фазы Венеры, определяемые гелиоцентрической орбитой планеты и подтвержденные наблюдениями Галилея. Справа – фазы планеты в соответствии с геоцентрической моделью.

Однако стоит более подробно описать путь, которым шел Ньютон в своих исследованиях планетарного движения, пытаясь найти связь между центробежной силой и квадратом расстояния.

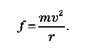
Предположим, что тело массой m движется с постоянной скоростью v по окружности с радиусом r. Ньютон рассчитал, что полная сила при равномерном круговом движении стремится к 2пи mv. Если теперь рассчитать не полную, а мгновенную силу (разделив на время полного оборота 2пи r/v), получаем

Эту формулу центробежной силы, из-за которой тело, совершающее равномерное круговое движение, в каждый момент времени стремится от центра, мы используем при расчете подобного кругового движения.

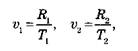
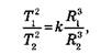
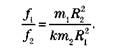
Ньютон воспользовался третьим законом Кеплера, чтобы найти центробежную силу, благодаря которой планеты отдаляются от Солнца. Пусть Т1 и Т2 – это периоды обращения планет вокруг Солнца, a R1 и R2 – их средние расстояния до Солнца. Третий закон Кеплера утверждает, что квадраты периодов обращения планет относятся как кубы радиусов:

где k – общий коэффициент пропорциональности. Добавим теперь скорости, с которыми двигаются планеты, v1 и v2 ; по формуле, приведенной выше, результаты для соответствующих центростремительных сил равны:

и, таким образом,

Принимая во внимание, что скорости – это частное расстояния и времени, получаем:

подставим это в предыдущую формулу и получим:

В итоге, применив третий закон Кеплера, Ньютон получил:

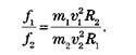
Вынеся за скобки множитель, который учитывает массы, Ньютон пришел к выводу, что центробежные силы обратно пропорциональны квадрату расстояний:

Возможно, Ньютон начинал подозревать, пока более или менее туманно, что яблоко заставляет падать то же притяжение, которое держит Луну на орбите возле Земли, однако от этого момента до открытия всеобщего закона тяготения должно пройти еще много времени, полного тяжелой работы и бессонных ночей. Сначала Ньютон пытался сравнить ускорение, придаваемое центробежной силой и заставляющее Луну двигаться, и ускорение тяготения на земной поверхности; и снова ученому помог его талант экспериментатора: он смог обнаружить точные значения, когда с помощью наклонных поверхностей измерял скорость падения тел на Землю.

ДЕКАРТОВЫ ВИХРИ

Часть пластины, изображающей декартовы вихри, включенной в книгу «Математические начала натуральной философии».

Рене Декарт выдвинул точку зрения, что своим движением планеты обязаны действию неких вихрей. Эта механистическая теория была опубликована в «Математических началах натуральной философии» (1644) и предполагала, что пространство занято невидимым потоком, который, двигаясь, создает гигантские небесные вихри.

Солнце, по теории Декарта,- центр одного из таких вихрей, и поэтому оно тянет за собой планеты, которые, в свою очередь, являются центрами других, более маленьких вихрей, воздействующих на Луну и другие спутники. Эта идея была достаточно сильной, потому что объясняла движение тел без видимого воздействия сил, при этом она наследовала аналогию с речными водоворотами, которая уже применялась в Древней Греции Левкиппом и, позднее, Эпикуром. Но если силы не действуют на расстоянии, как тогда объяснить падение тел на Земле? Декарт считал Землю гигантской центрифугой, а «сила, с которой небесная материя, более легкая, стремится удалиться от центра Земли, не может иметь воздействия; если частицы небесной материи отдаляются, они не достигают некоторых земных участков, которые в то же время нисходят, пока не займут место, освобожденное частицами небесной материи». Ньютон защищал точку зрения, согласно которой планетам на орбитах для сохранения движения необходимо только притяжение к Солнцу, но не сила, двигающая вперед.

Хотя гипотеза о тождественности обеих сил была верной, Ньютон оставил ее из-за накладок в расчетах: он использовал неточные значения радиуса Земли, а также он не знал, что расстояния следует измерять от центров.

Если верить истории о яблоке, идея тяготения, применимая ко всей материи во Вселенной, уже полностью оформилась в голове Ньютона. Однако это очень далеко от реальности. Уэстфол написал по этому поводу:

«История популяризирует всемирное тяготение, как если бы это была блестящая идея. Но блестящая идея не может сформировать научную традицию. Всемирное тяготение не сдалось под первым натиском Ньютона. Ньютон сомневался и потерял нить рассуждения, приведенный в замешательство временными трудностями».

На самом деле, по косвенным свидетельствам, мы знаем, что в 1681 году Ньютон еще не говорил о том, что сила тяготения затрагивает все небесные тела. В то время он вел с королевским астрономом Джоном Флемстидом дискуссию о комете, которую можно было видеть на небе зимой в ноябре и декабре 1680 года. Флемстид предположил, что на самом деле это была одна и та же комета, которая в первый раз приближалась к Солнцу, а во второй – удалялась от него. В те времена считалось, что перемещение комет подчиняется законам, отличным от законов движения планет. Ньютон также не думал, что кометы притягиваются к Солнцу с силой, обратно пропорциональной квадрату расстояния, хотя и понял, что так происходит с планетами. Ученый сначала возражал Флемстиду, но когда в 1682 году вернулась комета, которая позже получила имя Галлея, к нему в первый раз пришла мысль, что это небесное явление тоже подчиняется эффекту тяготения.

После исследований 1666 года Ньютон на какое-то время потерял интерес к планетам, но вернулся к этой теме 13 лет спустя – в 1679-м, когда получил письмо от Гука с предложением возобновить их научную переписку после ссоры, разрыва и последующего примирения, произошедших несколькими годами ранее. Причиной конфликта стали первые публикации Ньютона о природе света и цвета. В одном письме Гук спрашивал Ньютона о его мнении по поводу орбит, по которым движутся планеты под воздействием инерции и притяжения к центральному телу, вокруг которого они вращаются. Ньютону это предположение Гука показалось крайне любопытным, и в итоге оно натолкнуло его на решение задачи о планетарном движении. Действительно, начиная с того момента он отверг мысль о стремлении планет отдалиться под влиянием центробежной силы, сформированную под влиянием Гюйгенса, и остановился на идее инерции и силы притяжения, направленной в центр орбиты, – центростремительной силе, как позже ее назовет сам Ньютон.

Обложка первого издания труда «Математические начала натуральной философии» 1687 года

и внутренняя страница экземпляра, принадлежавшего самому Ньютону, с его пометками, сделанными от руки

Аллегория на Ньютона (1795) Уильяма Блейка – знаменитое изображение ученого в роли землемера Вселенной.

Ученый ответил Гуку, что не желает вести никакой переписки, так как в этот момент его интересуют другие исследования, не касающиеся натурфилософии, которой он посвящает теперь только «несколько свободных часов в качестве развлечения». Ньютон имел в виду теологию и алхимию. Однако он согласился на предложение Гука провести эксперимент, доказывающий ежедневное вращение Земли вокруг своей оси. Ньютон поспешил с ответом, что привело к ошибке в расчетах, и Гук отправил ему свои исправления. Это привело к тому, что ученые продолжили обмениваться письмами. В одном из них Гук описал свой закон обратной пропорциональности квадрата расстояний при измерении силы притяжения тел – эту формулу Ньютон уже вывел, когда в первый раз изучал проблему в годы эпидемии чумы.

Вопрос Гука разбудил забытый было интерес Ньютона к проблеме движения планет. Возобновив занятия, он выяснил, что два первых закона Кеплера включают силы притяжения, обратно пропорциональные квадрату расстояния. Это и были те расчеты, о которых шла речь во время визита Эдмунда Галлея в августе 1684 года.

Переписка тем не менее привела к новому грандиозному конфликту между Гуком и Ньютоном. Ссора разразилась, когда Ньютон работал над «Математическими началами натуральной философии» – Гук обвинил ученого в плагиате. В результате Ньютон чуть не забросил свою ключевую работу и в порыве, говорящем о его злопамятном характере, удалил из финальной версии книги почти все упоминания о Гуке.

ОТ «ДВИЖЕНИЯ ТЕЛ ПО ОРБИТЕ» К «МАТЕМАТИЧЕСКИМ НАЧАЛАМ НАТУРАЛЬНОЙ ФИЛОСОФИИ»

Вернемся к событиям, произошедшим после визита Галлея в Кембридж в августе 1684 года. Ньютон просмотрел и дополнил свои расчеты и в ноябре 1684 года отправил Галлею небольшой трактат на девяти страницах под названием «Движение тел по орбите» (De motu corporum in gyrum). В нем ученый в общих чертах привел доказательство того, что траектория, которую создает сила притяжения, обратно пропорциональная квадрату расстояния, определяется в виде конического сечения и под действием скоростей ниже определенной границы является эллипсом. В работе также речь шла о взаимном воздействии, что, как мы знаем, Ньютон понял из письма Гука.

Это небольшое научное сочинение содержало зерно дальнейших исследований Ньютона в сфере динамики. В различных версиях работы увидели свет знаменитые законы Ньютона. Изначально их было пять, затем количество сократилось до трех, именно их мы и изучаем сегодня. Вот как звучат их формулировки, приведенные в «Математических началах натуральной философии».

– Первый закон: Всякое тело продолжает удерживаться в состоянии покоя или равномерного и прямолинейного движения, пока и поскольку оно не понуждается приложенными силами изменить это состояние.

– Второй закон: Изменение количества движения пропорционально приложенной движущей силе и происходит по направлению той прямой, по которой эта сила действует. (Изменение количества движения – это не что иное, как ускорение.)

– Третий закон: Действию всегда есть равное и противоположное противодействие, иначе, взаимодействия двух тел друг на друга равны и направлены в противоположные стороны.

Этот принцип иллюстрируется следующим рисунком: слева шар замедляется от своей начальной скорости до нуля; тогда шар справа ускоряется от нуля до скорости, которую развил шар слева.

После этого были обобщены фундаментальные физические понятия, такие как абсолютные пространство и время или понятие массы: «Количество материи (масса) есть мера таковой, устанавливаемая пропорционально плотности и объему ее. Воздуха двойной плотности в двойном объеме вчетверо больше, в тройном – вшестеро. Это же количество я подразумеваю в дальнейшем под названиями тело или масса». Понятие массы, отличающееся от веса, было фундаментальным для формулировки второго закона Ньютона о движении: сила равняется массе, умноженной на ускорение. Таким образом сформировались привычные нам физические термины, такие как центростремительная сила.

Благодаря приезду Галлея Ньютон подошел к изучению нескольких проблем, которые ранее уже привлекали его внимание, но пока не захватывали. Уэстфол написал: «С августа 1684-го до весны 1686 года его жизнь свелась к „Математическим принципам"».

Ассистент ученого описывает Ньютона тех лет целиком поглощенным своими исследованиями:

«Он был так сконцентрирован, так углублен в свои занятия, что забывал поесть. Он заходил в свою комнату, видел нетронутую тарелку, а когда я ему напоминал про обед, он отвечал: «А, да?» – и направлялся к столу, где съедал пару кусков, даже не присаживаясь. В редких случаях, когда он вдруг решал поужинать в гостиной, он сворачивал налево и выходил на улицу; там он останавливался, поняв свою ошибку, и быстро возвращался, но потом нередко вместо того, чтобы пройти в гостиную, шел в свою комнату. Прогуливаясь по саду, он мог внезапно остановиться, развернуться и, взбежав по лестнице наверх, как Архимед со своей «Эврикой!», броситься к столу, где начинал что-то писать, даже не задумавшись о том, чтобы пододвинуть стул и сесть».

Когда приехал Галлей, Ньютон занимался первыми версиями работы «О движении» и все более приходил к убеждению о всеобщности тяготения. Чтобы подтвердить свои расчеты, он запросил у Флемстида информацию об орбитах спутников Юпитера, а также об орбитах Юпитера и Сатурна в момент их схождения, когда обе планеты находятся ближе всего друг к другу, чтобы попытаться определить пертурбации на их орбитах, вызванные взаимным притйжением планет. Он также запросил данные о приливах и отливах на Темзе, так как в его голове уже начинала оформляться мысль о том, что гравитация вызывает и периодические колебания уровня морей и океанов.

Небольшой трактат, который Ньютон выслал Галлею, дополнялся и дополнялся новыми положениями по мере того, как ученый уточнял формулировки. Так почти за год «Движение тел по орбите» (De motu corporum in gyrum) из сочинения на девяти страницах превратилось в двухтомник. Его название, напротив, сократилось до «Движения тел» (De motu corporum). В этой книге уже содержалось одно из главных открытий Ньютона: расстояния для расчета силы притяжения между сферическими телами следует измерять из их центральных точек. В это, как признавал сам ученый, было сложно поверить, но математические доказательства не оставляли сомнений. «Без моих доказательств ни один здравомыслящий философ не сможет этого признать», – написал он Галлею в 1686 году. В этой гипотезе расчеты, которые он сделал, чтобы определить силы тяготения, воздействующие со стороны Земли на яблоко и Луну, поразительным образом совпадали.

КТО ЗАПЛАТИЛ ЗА ПУБЛИКАЦИЮ «МАТЕМАТИЧЕСКИХ НАЧАЛ»

Весной 1686 года в Королевское общество пришло прошение о публикации книги Исаака Ньютона под названием Philosophiae naturalis principia mathematica («Математические начала натуральной философии»). 19 мая, по настоянию Галлея, на встрече общества публикация книги была одобрена. Нужно сказать, что выражение «натуральная философия» означает примерно то, что сегодня мы скорее назовем физикой, а слова «математические начала» подчеркивают решение Ньютона использовать язык и возможности математики для объяснения физических явлений. Во введении к книге III «Математических начал натуральной философии» читаем:

«В предыдущих книгах я изложил начала философии, не столько чисто философские, поскольку математические, однако такие, что на них могут быть обоснованы рассуждения о вопросах физических. Таковы законы и условия движений и сил, имеющие прямое отношение к физике… Остается изложить, исходя из тех же начал, учение о строении системы мира»[ 1 Перевод А. Н. Крылова. – Примеч. ред.].

Как написал научный историк Хосе Мануэль Санчес Рон, «существует другой аспект „Математических начал натуральной философии", который следует выделить: это высший пример того, что может называться методом Ньютона. И сам ученый завещал нам в этом труде – в других трудах тоже, но в этом особенно, – то, что составляет сущность современного научного метода: создание простых математических моделей, которые сравниваются с природными явлениями, и в результате этого возникают новые версии, более сложные по сравнению с предыдущими. Благодаря Ньютону математика по-настоящему вросла в физическую теорию».

Через две недели после подтверждения публикации книги совет Королевского общества улаживал щекотливый вопрос, связанный с оплатой расходов: «Было решено, что книга господина Ньютона будет опубликована и что господин Галлей возьмет на себя все связанные с публикацией вопросы, в частности понесет все расходы, что он и согласился сделать». Это решение обернулось для Галлея не одной бессонной ночью. С одной стороны, его экономическое положение на тот момент было не таким уж благополучным: Галлей жил в то время на более чем скромную зарплату ассистента в Королевском обществе. С другой стороны, он еще не знал точного размера и содержания «Математических начал натуральной философии», так как они очень быстро переросли рамки маленького трактата «О движении тел».

ТРЕБОВАНИЯ ГУКА

В процесс написания «Математических начал натуральной философии» вмешалось происшествие другого рода, которое едва не стоило Ньютону части книги. Роберт Гук узнал, что Ньютон использует в своем труде значение гравитационного притяжения (притяжение между двумя телами обратно пропорционально квадрату расстояния между их центрами), и мгновенно заявил свои права на эту формулировку.

Вначале Ньютон ограничился сообщением Галлею, что открыл теорию притяжения, обратно пропорционального квадрату расстояний, до того как Гук в 1679 году обнародовал свою гипотезу. Но вскоре гнев Ньютона начал расти, и через несколько недель он сказал Галлею, что исключит из «Математических начал натуральной философии» третью часть, посвященную системе мира.

Ньютон по отношению к Гуку становился все язвительнее: «Скажи, красиво ли это? – жаловался Ньютон Галлею. – Математики, которые исследуют, кропотливо собирают по крупицам и делают всю работу, должны смириться с тем, что они лишь подневольные счетоводы, а тот, кто ничего не сделал, а лишь имеет притязания и жадно хватается за все, что может, требует тех же прав на изобретение, как и те, кто его совершил первым».

Безусловно, ситуация была тревожной, ведь Галлей знал, что Гук не просто претендовал на благодарность: он обвинял Ньютона в плагиате. На официальных собраниях Королевского общества он еще сдерживался, но во время неформальных встреч, которые проводились в кафе, давал волю языку.

Философия – дама с таким дерзким и неоднозначным характером, что для мужчины обращаться с нею – как вести судебные тяжбы. Я давно это понял и сейчас, приближаясь к ней, слышу предостережение.

Ньютон во время спора с Робертом Гуком

Ярость Ньютона накипала, и он начал вымарывать имя Гука из текста: он вычеркнул ссылку на Гука, где признавался его приоритет, концепцию тяготения Гука во втором разделе и наблюдение Clarissimus Hookius («Славнейшего Гука») в дискуссии о кометах. В конце концов и к радости Галлея, осознав, с каким восторгом английское научное сообщество ждет выхода в свет этой книги, Ньютон подумал: лучшее, что он может сделать, чтобы задеть Гука, – это опубликовать третий том «Математических начал натуральной философии» в полном объеме.

СОДЕРЖАНИЕ «МАТЕМАТИЧЕСКИХ НАЧАЛ НАТУРАЛЬНОЙ ФИЛОСОФИИ»

5 июля 1687 года Галлей сообщил Ньютону, что подготовка к печати «Математических начал натуральной философии» завершена. Печатная версия представляла собой три тома, где, среди прочего, излагались три физических закона Ньютона. Какими были основные идеи, описанные в труде?

В первой книге излагаются три закона Ньютона о движении тел. Также определяются и проясняются фундаментальные концепции, такие как центростремительная сила – сила, которая при движении по круговой траектории притягивает тело к центру, в отличие от центробежной силы – термина, который использовал Гюйгенс для представления идеи отдаления от центра. Также Ньютон ввел в научную терминологию понятие массы, то есть количества материи, пропорционального плотности и объему тела.

Вторая книга – это трактат о механике жидкостей и воздействии трения на движение твердых тел в жидкой среде. Ученый пришел к мнению, что, например, сопротивление меняется пропорционально квадрату скорости. Книга исследует движение при сопротивлении среды и являет собой беспощадную критику декартовой теории вихрей. В финальной части Ньютон опровергает существование вихрей, с помощью которых Декарт объяснял движение планет. Он доказывает, что пространство должно быть свободно от трения любого вида, и хотя это может показаться противоестественным, существуют силы, способные действовать на расстоянии. Причину этого, по мнению Ньютона, следует искать в первом томе его книги и, более подробно, – в третьем.

В третьем томе, «Система мира», рассчитываются движения небесных тел в среде, где отсутствует сопротивление, описанное в первом томе. В третьей книге Ньютон заключает, что причиной движения планет, а также спутников и комет, приливов и отливов является сила тяготения, которая распространяется на все тела пропорционально количеству материи, которой они обладают. Без сомнений, это самая важная мысль труда, которую сам ученый назвал законом всемирного тяготения.

Таким образом, третий том «Математических начал натуральной философии» демонстрирует, как работают в физическом мире законы движения, описанные в первой книге. С помощью нескольких законов Ньютон связал Землю со всеми небесными явлениями.

В «Системе мира» центростремительная сила, удерживающая планеты на эллиптических орбитах, отождествляется с тяготением; как следствие, Луну на ее орбите удерживает та же сила, которая заставляет тела падать на поверхность Земли. В этой модели гравитационные силы всегда притягивающие; и действительно, отталкивающая сила, такая как центробежная, не могла бы создавать замкнутые орбиты, а тем более заставить яблоко упасть на землю. Кроме того, тяготение является всеобщим: все тела во Вселенной притягиваются друг к другу с силой, пропорциональной их массам и обратно пропорциональной квадрату расстояний. В связи с тем что этот закон включает законы планетарного движения Кеплера, можно сделать вывод, что этим принципам подчиняется и движение спутников вокруг планет, и движение комет вокруг Солнца, и возмущения, вызванные всеохватывающим действием гравитационного притяжения.

Ньютон изучал возмущения на примере движения Луны: «Мы наконец-то узнали, – написал Галлей в своей оде Ньютону, которая стала вступлением к первому изданию «Математических начал натуральной философии», – почему в другие времена казалось, что Луна движется неравномерными шагами, как будто смеется над нами, не позволяя рассчитать свой ход, до сих пор покрытый тайной для астрономов». Однако Галлей преувеличивал, потому что ньютоновское исследование лунной орбиты было недостаточно удовлетворительным; кроме того, необходимость сравнить теоретические прогнозы с результатами наблюдений стала причиной дискуссии Ньютона с королевским астрономом Джоном Флемстидом.

В «Системе мира» речь шла о разных вопросах, среди которых – теория приливов и отливов как результата гравитационного воздействия Солнца и Луны на Мировой океан, рассуждения о форме планет, обязательно приплюснутых на полюсах. Это предположение Ньютона имело разные последствия. С одной стороны, теории Декарта уверяли в противоположном: планеты должны были удлиняться по направлению к полюсам. Вопрос можно было решить, измерив соответствующие дуги меридиана у одного из полюсов и на экваторе, и это доказательство было, безусловно, областью большого научного интереса, так как оно могло исключить одну из двух самых важных теорий того времени. В итоге Парижская академия наук решилась на рискованное предприятие: в начале XVIII века были снаряжены две экспедиции (одна в Лапландию, другая – в Перу), чтобы измерить дугу меридиана. На это потребовались годы, но в результате было установлено, что Земля приплюснута на полюсах. Это стало окончательным триумфом ньютоновской системы над декартовой.

Сила притяжения между двумя телами, разделенными расстоянием, пропорциональна обеим массам и обратно пропорциональна квадрату расстояния между ними.

Закон всемирного тяготения, описанный в третьем томе ««Математических начал натуральной философии»

Кроме того, растянутость Земли у экватора позволила Ньютону объяснить один из самых таинственных астрономических феноменов, обнаруженный еще греческими учеными. Речь идет о предварении равноденствий, то есть медленном смещении полюса мира по отношению к звездам, и прохождении окружности с периодом почти 26 ООО лет. В древней геоцентрической концепции Вселенной полюс мира – это точка, в которой звездная сфера срезана по оси, перпендикулярной плоскости эклиптики и проходящей через центр Земли; в гелиоцентрической концепции предварение равноденствий – это небольшой поворот оси вращения Земли с периодом 26 000 лет.

Несмотря на кажущуюся незначительность, этот феномен, открытие которого приписывается греческому астроному Гиппарху (II век до н.э.), имеет фундаментальное значение для составления календарей, поскольку определяет длительность года. Предварение равноденствий не влияет на эклиптику и не воздействует на длительность сидерического года, то есть отрезка времени, за который Солнце проходит эклиптику, однако оно влияет на небесный экватор и, таким образом, на равноденствия – точки, когда эклиптика пересекает небесный экватор.

В течение периода прецессии – этих 26 ООО лет – каждое равноденствие медленно перемещается над эклиптикой из расчета полтора градуса каждые сто лет; таким образом, меняется время, которое требуется Солнцу, чтобы пройти от одного весеннего равноденствия до другого – этот период называется тропическим годом. В результате тропический год примерно на 20 минут короче сидерического и его сложнее измерить. Накопление этих 20 минут, не учтенных в юлианском календаре, и привело к необходимости реформы, которую осуществила католическая церковь в XVI веке.

Исламские ученые смогли описать предварение равноденствий, добавив к системе, составленной Птолемеем, новую сферу, но ни одна теория не была способна объяснить причины этого явления. Ньютон нашел ключ к разгадке в «Математических началах натуральной философии». Его объяснение было верным, хоть и немного несовершенным: в результате гравитационного притяжения Солнца и Луны земная ось смещается, описывая конус с периодом примерно 26 000 лет [2 По современным данным, этот период составляет 25 800 лет. – Примеч. ред.]; поворот земной оси смещает и связанную с Землей экваториальную систему небесных координат примерно на 50м в год относительно неподвижных звезд. Из этих 50” Ньютон 9” объяснил влиянием Солнца и 41” – влиянием Луны. Для Джорджа Эйри (1801- 1892), Лукасовского профессора в Кэмбридже и королевского астронома в Гринвиче, самым удивительным в труде Ньютона было именно объяснение предварения равноденствий: «Если бы нужно было выбрать часть из „Математических начал натуральной философии", которая более всего удивила, восхитила и угодила читателям, я бы без сомнения назвал толкование предварения равноденствий».

Начальная цена «Математических начал» в первом издании, выпущенном тиражом примерно 400 экземпляров, составила девять шиллингов. Однако маленький тираж быстро разошелся, и в начале XVIII века некоторые экземпляры продавались за более чем два фунта. При жизни Ньютона книга была переиздана еще два раза, и с каждым изданием в нее вносились изменения. Тираж второго издания в 1713 году составил примерно 750 экземпляров (выпуском руководил Роджер Коте), а тираж третьего в 1726-м – приблизительно 1250 экземпляров (изданием руководил Генри Пембертон).

Словно юла, теряющая скорость, Земля медленно и постепенно меняет свою ось вращения в течение периода продолжительностью приблизительно 26 000 лет. Предварение равноденствия происходит из-за гравитационного воздействия Солнца и Луны на экватор. Оно не сказывается на продолжительности сидерического года, но влияет на равноденствия. На иллюстрации внизу изображены равноденствия и полюса мира.

ПРИРОДА ГРАВИТАЦИИ

Распространение «Математических начал натуральной философии» вызвало восхищение Ньютоном в научном мире, но и послужило почвой для критики. Приверженцы механицизма заявляли, что абсурдно утверждать, будто тяготение может действовать на расстоянии. По их мнению, это толкование роднило силу тяготения с анимизмом и сближало теорию Ньютона с точкой зрения Аристотеля и схоластов. Гюйгенс и Лейбниц, особенно последний, тоже критиковали Ньютона. Лейбниц рассуждал в письме от 1715 года:

«Если любое тело имеет вес, то следует – что бы ни говорили его сторонники, хотя бы и страстно отрицали это, – что тяготение будет оккультным схоластическим свойством или, более того, чудесной силой. Недостаточно сказать: „Бог создал закон природы, поэтому это естественно". Необходимо, чтобы закон мог объяснить природу созданных вещей. Если, например, Бог дал свободному телу закон вращаться вокруг некоего центра, он должен был соединить это тело с другими, которые при помощи своего импульса держали бы тело на круглой орбите, или поместить его под стопы ангела. Я всем существом поддерживаю экспериментальную философию, но господин Ньютон сильно от нее отдалился, заявляя, что любая материя имеет вес – или что каждая часть материи притягивает другую, и, конечно, это не доказано экспериментально».

Ньютон понимал, что не может объяснить причину притяжения, поэтому защищался единственным возможным способом, взывая к тому, что опирался на вычисления и вероятные значения. Так, в первом издании «Математических начал натуральной философии» он пишет: «Здесь я использую общее слово „притяжение" для любого усилия, которое делают тела, чтобы приблизиться одно к другому; будь это усилие происходящим от действия этих же тел или стремления друг к другу или будь оно следствием действия эфира, или воздуха, или любого другого телесного и бестелесного средства, которое любым способом толкает одни тела к другим. В этом же общем смысле я использую слово „импульс". И я не определяю в этой книге типы или физические качества этих сил, но исследую их количества и математические пропорции». И далее приводит аргумент: «Наша единственная цель – понять количество и свойства этой силы по отношению к явлениям и применить наши открытия к некоторым простым случаям в качестве принципов, чтобы затем можно было оценивать математически воздействие, которое произойдет в более сложных случаях. Мы говорим „математически", чтобы избежать вопроса о природе или качестве этой силы, ибо не в наших намерениях заключать ее в рамки какой-либо гипотезы».

Все это было пропитано той же утилитарной философией, которая проступает в значительной части «Общих схолий» – комментариев, добавленных во второе издание труда: «Но я еще не мог раскрыть, основываясь на явлениях, причину этих свойств притяжения, и я не выдумываю гипотез. Потому что то, что нельзя вывести из феномена, должно называться гипотезой, а гипотезам либо метафизическим, либо физическим, либо оккультных свойств, либо механическим нет места в экспериментальной философии […]. И довольно того, что притяжение существует и действует по законам, истолкованным нами, и является достаточным для всех движений небесных тел и земного океана».

ЗАДАЧА ТРЕХ ТЕЛ

Определить траекторию трех тел, взаимодействующих по закону гравитационного притяжения, – Солнца, Земли и Луны – задача гораздо более сложная, чем когда рассчитывается взаимное движение только двух тел: планеты и Солнца. На самом деле все еще не существует точного решения этой задачи; расчеты оставались крайне сложными вплоть до середины XVIII века, когда математики нашли достаточно удовлетворительные методы для приближенных вычислений. Ньютон остался недоволен тем, как этот вопрос раскрыт в его работе «Математические начала натуральной философии», и годы спустя вернулся к нему, хотя и не сделал значительных прорывов. Ученый признался по этому поводу: «Никогда у меня так не болела голова, как когда я занимался изучением Луны».

Ньютон настаивал на том, что его интересует не сущность притяжения, а его эффекты. Чтобы проиллюстрировать это, приведем точку зрения ученого, описанную в письме Ричарду Бентли в 1693 году:

«Непостижимо, что чистая неодушевленная материя взаимодействует и влияет без посредничества чего-либо, что является материальным, на другую материю без взаимного контакта, как должно было бы быть, если бы притяжение (в значении Эпикура) было бы основным и неотъемлемым для этой материи. И это одна из причин, по которым я выразил Вам свое желание, чтобы Вы не приписывали мне врожденное тяготение. Чтобы притяжение было врожденным, неотъемлемым и существенным в материи, так что тело могло бы воздействовать на другое тело на расстоянии через вакуум, без того, чтобы вмешивалось что-то, через что действие или сила могут передаваться от одного к другому, мне кажется таким огромным абсурдом, что я не верю, что подобное могло бы прийти в голову кому-либо сведущему в философских вопросах. Причиной притяжения должен быть посредник, действующий в соответствии с определенными законами, но является ли он материальным или нематериальным – вопрос, который я оставляю для размышлений моим читателям».

ИСПОЛЬЗОВАНИЕ МАТЕМАТИЧЕСКОГО ЯЗЫКА

Тот, кто сегодня начнет читать «Математические начала натуральной философии», удивится, не найдя в них и следа анализа бесконечно малых – великого математического изобретения Ньютона, которому посвящена значительная часть следующей главы. Для описания математических размышлений в своем труде ученый предпочел язык синтетической геометрии. Английский гений часто говорил, что использовал вычисления для большей части данных, приведенных в «Математических началах натуральной философии», хотя и представлял их затем на гораздо более строгом языке геометрии. Возможно, Ньютон и утверждал подобное, но документальных доказательств этому нет.

«Математические начала натуральной философии» появились после того, как Ньютон отверг новую аналитическую геометрию и обратился к идеям греков в области синтетической геометрии. Это превращение не может не удивлять, если знать, что вначале Ньютон изучал Декарта, а не Евклида, и с помощью декартовой геометрии обосновал свои расчеты со всей алгоритмической мощью. Между тем так все и было. Начиная с 1680 года Ньютон начал серию работ о синтетической геометрии, которую завершил к 1693 году попытками реставрировать греческие геометрические методы. Эти работы так и остались неопубликованными. Другая возможная причина отсутствия алгебраических расчетов состоит в том, что ученый, приступая к написанию «Математических начал натуральной философии», подумал: если он представит свои мысли на этом новом и недостаточно распространенном языке, понять написанное смогут немногие.

ЗА ПРЕДЕЛАМИ «МАТЕМАТИЧЕСКИХ НАЧАЛ»

Чтобы принять всерьез научную теорию, необходимо, чтобы она была согласована с наблюдениями, доступными в момент ее разработки, и объясняла самые важные явления. Так как три закона Кеплера выводились из теории гравитации и согласовывались с результатами наблюдений за небесными телами, теория Ньютона, описанная в «Математических началах натуральной философии», переступила через незыблемое научное правило: соответствовать имеющимся данным.

Однако успех физической теории определяется точностью прогнозов, которые она позволяет сделать. Математическая формула всемирного тяготения в виде уравнений позволила делать прогнозы, и экспериментальное подтверждение подняло ее научную состоятельность. Теория гравитации была подтверждена в течение следующих двух веков, и некоторые сюжеты этого триумфа были весьма впечатляющими.

Два таких момента произошли почти одновременно в середине XVIII века. С одной стороны, крупные французские экспедиции в Лапландию и Перу подтвердили предсказание Ньютона о том, что Земля сплюснута у полюсов. С другой стороны, появились лунные таблицы, разработанные немецким астрономом Тобиасом Майером на основании теории тяготения Ньютона и расчетов швейцарского математика Леонарда Эйлера (1753). Английское адмиралтейство было готово заплатить немалую сумму, чтобы помочь своим кораблям определять положение в море.

Однако теорию гравитации ожидали гораздо более сложные испытания, так как каждое открытое тело в Солнечной системе означало новый вызов: следовало доказать, что наблюдаемая траектория совпадает с теоретической. В течение полутора веков после публикации «Математических начал» было обнаружено немало небесных тел. Среди них – планета Уран, открытая Уильямом Гершелем в марте 1781-го, и пояс астероидов между Марсом и Юпитером. Расчетные орбиты этих тел соответствовали наблюдаемым. Каждое совпадение вело к новым успехам, а сама теория завоевывала все большее доверие. Однако наиболее потрясающее ее достижение состояло в том, что исключительно с помощью теоретических выкладок и математических уравнений гравитации удалось предсказать и обнаружить новую планету дальше Урана.

Открытию Нептуна предшествовала угроза провала: по мере того как шли годы после открытия Урана, планета демонстрировала четкую тенденцию к отклонению от орбиты, которую ей приписывали законы Ньютона. Приблизительно в 1790 году с некоторой точностью был намечен путь, по которому должен был следовать Уран, учитывая силу, с которой его притягивало Солнце, и воздействие других планет, в основном Юпитера и Сатурна. В связи с отдаленностью от Солнца Уран имеет очень маленькую угловую скорость – ему нужно более 84 лет, чтобы совершить один оборот; его медленное перемещение и стало причиной того, что только в 1800 году было замечено: Уран отклоняется от орбиты. В расчеты вносились уточнения, которые Уран снова нарушал. В начале 1830-х годов отклонение Урана стало настолько угрожающим, что ученые пришли к выводу: либо он не подчиняется закону тяготения, либо существует нечто, препятствующее выполнению закона. Кто-то выдвинул предположение, что этой помехой может быть планета, расположенная дальше Урана, которая влияет на его орбиту; другие считали, что если бы эта планета существовала, ее уже давно локализовали бы при помощи математических расчетов. Словом, появилась задача определить размер и местоположение объекта, способного воздействовать таким образом на орбиту Урана. Независимо друг от друга необходимые расчеты сделали два астронома: француз Урбен Леверье (1811-1877) и англичанин Джон Адамс (1819-1892). Несмотря на несовершенство астрономических обсерваторий, где они проводили свои исследования, оба попали в цель, и, благодаря настойчивости Леверье, работавшего над проблемой в Берлинской обсерватории, сентябрьской ночью 1846 года была открыта планета, из-за которой смещается орбита Урана. Новая планета получила название Нептун.

ЛУННЫЕ ТАБЛИЦЫ МАЙЕРА

Если изучение движения Луны представляло собой проблему, то новая небесная механика, возникшая после открытия Ньютоном закона всемирного тяготения, обещала наконец ее решить. Однако необходимые математические методы еще были в состоянии разработки. Первые теоретические результаты появились в середине XVIII века благодаря швейцарскому математику Леонарду Эйлеру, который свел движения Солнца, Земли и Луны к серии изящных уравнений.

Немногим позже в Гёттингене немецкий астроном Тобиас Майер (на иллюстрации) объединил результаты своих наблюдений и наблюдений Джеймса Брэдли – последователя Галлея на посту королевского астронома – с теоретическими выводами, чтобы составить первые таблицы положений Луны и Солнца, необходимые для навигации. Таблицы в 1755 году были представлены Адмиралтейству Англии и получили премию, предложенную за решение задачи по определению долготы в море. Двумя годами позже таблицы Майера были опробованы английским капитаном Джоном Кэмпбеллом в море, на борту «Эссекса»: они позволили определить долготу в море с точностью в полградуса.

ЭЙНШТЕЙН ОСПАРИВАЕТ НЬЮТОНА

Открытие Нептуна стало очередным подтверждением закона гравитации Ньютона. И хотя в Солнечной системе были и другие отклонения, в середине XIX века многие считали, что все их можно объяснить с помощью теории Ньютона.

Самое важное из этих отклонений было связано с перигелием Меркурия – самой ближней к Солнцу точкой на его орбите, которая каждый год немного перемещалась вокруг Солнца, вызывая смещение целой орбиты. Проблема, как объявил Леверье, состояла в том, что это смещение происходило быстрее, чем требует теория гравитации.

И наконец, этот «непорядок» мог бы означать, что хотя теория гравитации Ньютона объясняет устройство Солнечной системы, на самом деле в ней есть ошибки. Пространство Ньютона – это своего рода вместилище планет и звезд, которые двигаются в соответствии с законом гравитации. По Ньютону, пространство абсолютно, и тела, существующие в нем, не могут его изменить, как не могут сделать этого по отношению ко времени, которое также абсолютно и течет везде в одинаковом безвозвратном ритме. Однако окружающая нас Вселенная сложнее, чем представлял Ньютон.

Теория относительности Альберта Эйнштейна (1905) предложила идею неразрывно связанных времени и пространства. Время, масса, скорость относительны, и эти признаки меняются, если мы будем двигаться со скоростями, сравнимыми со скоростью света.

С другой стороны, общая теория относительности (1915) говорит нам, что пространство меняется под воздействием того, что в нем находится, что небесные тела изгибают его в зависимости от своей массы; например Солнце воздействует на пространство сильнее, чем Земля или Луна. Во время своей поездки в Соединенные Штаты в 1921 году сам Эйнштейн так объяснил свою идею толпе журналистов, которые попросили кратко рассказать, что такое общая теория относительности:

«Если вы не примете мой ответ слишком всерьез, а посчитаете его наполовину шуткой, я могу вам сказать, что раньше люди верили в то, что если все материальные тела в один момент исчезнут из Вселенной, время и пространство в ней останутся. Согласно моей теории относительности, напротив, время и пространство исчезнут, как только исчезнут тела».

Общая теория относительности идеально объясняет, что происходит с Меркурием. Если тело в Солнечной системе движется не слишком быстро и на достаточном отдалении от крупной массы, законы Ньютона описывают его движение с великолепной точностью, а если и существует определенная погрешность, то она не фиксируется нашими измерительными приборами. Но Меркурий, приближаясь к своему перигелию, двигается слишком быстро, гораздо быстрее, чем другие планеты, и находится очень близко к Солнцу, поэтому его орбита выявляет ограничения закона тяготения Ньютона. Мы знаем, что Эйнштейн был более озабочен тем, чтобы объяснить явления, а не исправлять недочеты существующих физических теорий, будь то теория гравитации или движения эфира, хотя он и считал, что его идеи могут объяснить то, что идеи Ньютона объяснить не могли.

Эйнштейн испытал огромную радость, поняв, что его теория объясняла изменения орбиты Меркурия: «Я три дня был вне себя от радости». По словам Абрахама Пайса, одного из биографов Эйнштейна, его успех с перигелием Меркурия стал «самым сильным эмоциональным потрясением в научной жизни Эйнштейна, а может, и во всей его жизни. Природа заговорила с ним, и он знал это. „Я чувствовал, как меня переполняет радость". После ученый сказал другу, что его открытие вызвало у него сильную дрожь по всему телу. Или еще более глубокое переживание, которым он поделился с другим своим другом: когда Эйнштейн увидел, что его расчеты совпадают с астрономическими наблюдениями, которые нужно было объяснить, ему показалось, что что-то надорвалось внутри».

Я занят работой над релятивистской теорией гравитации, при помощи которой надеюсь понять вековое необъяснимое изменение в движении перигелия Меркурия.

Слова Эйнштейна в 1907 году

Тот факт, что Эйнштейн, в качестве доказательства своих теорий, не один раз подчеркивал, что они основаны на подходе Ньютона, лишний раз говорит о том авторитете, которым пользовалась теория гравитации Ньютона в XX веке. Во введении к одной из своих работ 1916 года, которая подробно рассказывала об общей теории относительности, Эйнштейн писал:

«Посредством этих уравнений, которые от условий общей теории относительности следуют методом чистой математики, получаем в первом приближении теорию тяготения Ньютона и во втором – объяснение движения перигелия планеты Меркурий, открытого Леверье. Эти факты должны, по моему мнению, считаться убедительными доказательствами теории».

Переход от теории тяготения Ньютона к теории относительности Эйнштейна не был таким же революционным, как переход от птолемеевой астрономии к астрономии Коперника. Как говорил Эйнштейн, гравитация Ньютона – это хорошее приближение к пониманию Вселенной, которая нас окружает. В действительности же речь идет об отличном приближении, если ограничиться Солнечной системой, на знаниях о которой построил Ньютон свою теорию. Это приближение настолько эффективно, что и по сей день мы используем его для описания траекторий искусственных спутников и космических кораблей или в расчетах сопротивления при строительстве подвесных мостов.

Когда Эйнштейн представил свою общую теорию относительности в 1915 году, она была не более чем объяснением космоса, полученным с помощью математических расчетов, начиная с физического принципа эквивалентности: силы гравитационного взаимодействия пропорциональны массе тела. В этот момент общая теория относительности имела не слишком прочную опору: да, в ее основе лежала теория тяготения Ньютона, и да, новая теория объясняла отклонение перигелия Меркурия, но это было достаточно скудной поддержкой для идеи, которой суждено было произвести революцию в научном мире. Кроме этого, можно было опираться на состоятельность Эйнштейна как ученого, однако этот аргумент не является научным.

Подтверждение общей теории относительности произошло благодаря тому, что ее прогнозы подтверждались экспериментально. Один из таких прогнозов устанавливает, что свет искривляется под воздействием гравитационного поля, или, иначе говоря, наличие материи искривляет пространство, и в этом искривленном пространстве углы в треугольниках, например, в сумме уже не составляют 180 градусов. Физические принципы и математический подход к этим принципам позволили Эйнштейну рассчитать искривление, вызванное воздействием массы Солнца на лучи света, посылаемые дальними звездами. В конце весны 1919 года англичане отправили в Гвинейский залив экспедицию во главе с Артуром С. Эддингтоном для наблюдения за полным солнечным затмением. После нескольких месяцев расчетов и проверок 6 ноября 1919 года Эддингтон пришел к заключению, что оценки Эйнштейна совпадают с наблюдениями. Газета Times вышла на следующий день со звучным заголовком: «Революция в науке: новая теория Вселенной низвергает идеи Ньютона». Это превратило Эйнштейна, до того дня известного лишь в научных кругах, в популярную фигуру, равную по масштабу английскому ученому, которого он «низверг».

Новость, однако, имела неоспоримый политический налет: прошел год после окончания Первой мировой войны, и лондонская Times «низвергла» Ньютона, самого восхваляемого из всех английских ученых, в пользу немца Эйнштейна. Конечно, Эйнштейн родился в Германии, был членом Прусской академии наук, однако сами немцы своим его не считали. В 1901 году он получил швейцарское гражданство и решительно стоял на позициях пацифизма во время войны. В 1918 году он писал: «По рождению я еврей, по гражданству – швейцарец, а по образу мыслей я человек, и только человек, без привязанности к какому-либо государству или национальному сообществу». Многое было сказано о том, был ли Эддингтон полностью объективен в своих выводах; неспроста же он заявил: «Это лучшее, что могло случиться для научных отношений между Англией и Германией». Но все эти подробности лишь подчеркивают политическую остроту новости.

Нечасто случается, что наука входит в сферу политики, и тот факт, что причиной этому стали работы и личность Ньютона – ученого, которого не было в живых уже почти 200 лет, – лишний раз говорит о его авторитете.

Более 800 000 книг и аудиокниг! 📚

Получи 2 месяца Литрес Подписки в подарок и наслаждайся неограниченным чтением

ПОЛУЧИТЬ ПОДАРОК