ГЛАВА 3 Математик и маг

Достижения Ньютона в математике известны меньше его работ по физике, однако они также достойны уважения. Самое значительное из них – анализ бесконечно малых, идея, появившаяся во время его первых лет в Кембридже. А помимо математики и физики, ученого крайне увлекали алхимия и толкование Библии.

Ньютон приехал в Кембридж в начале лета 1661 года, и там началось его научное образование. В то время программа обучения в университете веками не менялась и опиралась на аристотелеву модель. Так что Кембридж нельзя было назвать площадкой научного новаторства, однако там были очень хорошие библиотеки.

Таким образом, своим образованием Ньютон обязан не столько лекциям, сколько научным книгам и трактатам. Он довольно рано серьезно проштудировал «Геометрию» Декарта, впервые опубликованную в 1637 году как приложение к «Рассуждению о методе». Юноша начал с изучения первых десяти страниц. Он останавливался каждый раз, когда у него скапливалось определенное количество вопросов, и снова возвращался к началу. Этот цикл повторялся, пока Ньютон не приходил к полному пониманию изложенного, затем он двигался дальше, а когда после нескольких новых страниц у него вновь накапливалось непонимание, опять возвращался в начало. В конце концов, попытка за попыткой, Ньютон изучил это сложнейшее произведение французского философа.

Позже, во время создания анализа бесконечно малых, эти знания сослужили Ньютону отличную службу.

После трех лет, проведенных в Кембридже, Исаак вернулся в Вулсторп: университет был вынужден закрыться в связи с эпидемией чумы. Ньютон пробыл дома почти 20 месяцев в 1665 и 1666 годах. Это время стало исключительно плодотворным и даже получило определение anni mirabiles (год чудес) Ньютона: анализ бесконечно малых, механика, гравитация, теория цвета, разработка бинома, который теперь носит его имя, – и это далеко не все идеи, обдуманные в этот удивительный период.

БИНОМ НЬЮТОНА

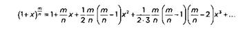
В своем самом распространенном значении термин «бином» означает любое выражение, состоящее из двух слагаемых. Ньютон создал простую формулу в виде ряда, позволяющую рассчитать результат возведения любого бинома в степень. Согласно ей:

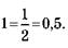
Например, возьмем m = 1 и n = 2. Формула позволяет извлечь квадратный корень из числа, основанный на бесконечном ряде:

С помощью приведенной выше формулы Ньютон смог разложить на слагаемые большую часть элементарных функций: обратных тригонометрических (арксинус, арккосинус и арктангенс) и тригонометрических (синус, косинус и тангенс); аналогичным образом он рассчитал логарифмические и экспоненциальные функции. Формула для расчета бинома, открытая, по словам самого Ньютона, в 1665 году, стала ключевым моментом в создании и последующем развитии анализа бесконечно малых.

АНАЛИЗ БЕСКОНЕЧНО МАЛЫХ

Из всех математических открытий Ньютона самым значительным и повлекшим огромное количество научных достижений стал, без сомнения, анализ бесконечно малых, хотя очень важны и другие его математические работы, например сделанные в сфере аналитической геометрии или вычислительной математики.

Достижения Ньютона и Лейбница были уточнены и дополнены последующими математиками, такими как Огюстен Луи Коши (1789-1857) или Карл Вейерштрасс (1815-1897), и легли в основу дифференциального и интегрального анализа – области математики, которая изучает количественное изменение так же, как геометрия изучает формы, и используется при решении огромного количества технических и физических задач.

Анализ бесконечно малых является самым мощным и эффективным инструментом, когда-либо созданным математиками, он состоит из двух разделов: дифференциального (его основное понятие – производная) и интегрального исчисления.

ПРОИЗВОДНАЯ

Производная – это фундаментальное понятие не только дифференциального исчисления или математики, но и всей науки в целом. Этот термин объединяет скорость или силу в физике, тангенс в геометрии…

В общих словах производная – это мера того, как изменяются значения функции в зависимости от значений, которые принимают ее переменные. Например, если у нас есть функция, описывающая положение объекта в каждое мгновение времени, то производная этой функции будет описывать, как меняется положение объекта в разные моменты времени (учитывая скорость объекта).

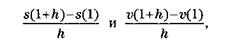
Рассмотрим две функции: с одной стороны – функция s, которая в каждый отрезок времени t определяет расстояние s(t), проходимое телом; с другой – функция v, которая в каждое мгновение времени t определяет скорость v(t), с которой тело движется. Рассмотрим следующее выражение: s(t) = sqrt(t) и v(t) = t² . Обе функции принимают значение 1 при t = 1: s(1) = 1 и v(1) = 1. Однако таблица значений показывает, что вблизи значения t = 1 функции изменяются по-разному.

t s(t) v(t) 0,8 0,8944 0,64 0,9 0,9486 0,81 1 1 1 1,1 1,0488 1,21 1,2 1,0954 1,44

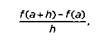
Видно, что функция v меняется сильнее, чем функция s. Чтобы определить это изменение – то есть определить производную, – возьмем некоторое число а и число а + h и сравним, как изменяются разности ƒ(a + h) – ƒ(a), с одной стороны, и a + h – а = h, с другой стороны. Затем определим частное:

Используя формулы функций s(t) = sqrt(t) и v(t) = t² , определим значение частного при а = 1 и различных значениях h.

h s(1+h)-s(1)/h v(1+h)-v(1)/h -0,01 0,5012 1,99 -0,001 0,5001 1,999 0,001 0,4998 2,001 0,01 0,4987 2,01

Результат для функции v близок к 2, в то время как для функции s – около 0,5, и это подтверждает данные первой таблицы, где мы заметили, что функция v менялась сильнее, чем функция s. Теперь нас интересует значение частного

при h = 0, то есть когда а + h совпадает с a. Это значение мы назовем производной ƒ в точке а и, вслед за математиком Жозефом Луи Лагранжем (1736-1813), обозначим его ƒ'(a). Как можно убедиться, результат вычислений будет равен 0/0, то есть не имеет смысла.

Однако этот результат лишь кажется абсурдным, поскольку, как показывает предыдущая таблица для наших функций s(t) = sqrt(t) и v(t) = t² , когда h – маленькое число, хотя и стремящееся к нулю, оба частных,

вполне имеют смысл и похожи на уже полученные значения: 0,5 для функции s(t) = sqrt(t), и 2 – для функции v(t) = t². Немного дальше мы увидим, что на самом деле эти значения совпадают с производными обеих функций в точке 1: s'(1) = 0,5, v’(l) = 2.

Однако деление на ноль, с которым столкнулись при вычислении производной ученые XVII века, представляло некоторую сложность, которая появлялась каждый раз, когда они пытались вычислить, например, касательную к кривой или мгновенную скорость при известном расстоянии, пройденном движущимся телом.

Следует иметь в виду, что до появления анализа бесконечно малых (а произошло это в конце XVII века) могли изучаться только самые простые виды движения: равномерное движение, при котором пройденное расстояние линейно зависит от времени, скорость постоянна и отсутствует ускорение, или равномерно ускоренное движение, когда пройденное расстояние пропорционально квадрату времени и, таким образом, скорость пропорциональна времени и постоянному ускорению.

Изучение последнего вида движения, которое наблюдается, например, при падении тела под воздействием силы тяготения, потребовало всех мыслительных способностей гениального Галилея, который вник в сущность явления за несколько десятилетий до того, как благодаря анализу бесконечно малых изучение этого типа движения стало относительно простым.

Вернемся к одному из наших примеров: тело в движении прошло расстояние s(t) = sqrt(t) за время t (время мы измеряем в секундах, а расстояние – в метрах). Расчет средней скорости, с которой двигается тело, – задача легкая: например, за период времени между 1 и 4 секундами средняя скорость будет равняться результату деления пройденного расстояния на затраченное время:

Средняя скорость

Но что произойдет, если вместо средней скорости за интервал времени мы захотим измерить мгновенную скорость, с которой движется тело в конкретный момент? Для простоты представим, что мы хотим измерить эту скорость именно в тот момент, когда наступает первая секунда движения. Для этого возьмем изменение времени h и посчитаем среднюю скорость между 1 и 1 + h.

Средняя скорость

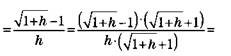
Чтобы посчитать мгновенную скорость в первую секунду, достаточно приравнять h к нулю. Но тогда, как и ранее, мы получим не имеющий смысла результат:

Мгновенная скорость в момент времени 1 =

Это происходит потому, что мгновенная скорость соответствует значению производной функции, которая измеряет расстояние s(t) = sqrt(t) при t = 1.

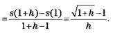
Предыдущая таблица показывала, что значение этой производной должно быть 0,5. Теперь посмотрим как, используя предыдущее выражение, мы можем выполнить кажущееся бессмысленным деление на ноль и получить ожидаемое значение:

Средняя скорость

Далее умножаем числитель и знаменатель на sqrt(1+h) + 1 и сокращаем:

Средняя скорость

Если в этом выражении мы приравняем значение h к нулю, задача меняется, и при h = 0 отсутствует деление на ноль. Как и подсказывала таблица, частное при h = 0 составляет 0,5. В физических терминах это означает:

Мгновенная скорость в момент времени

Таким образом, от бессмысленного деления нуля на ноль мы пришли к заключению, что если тело проходит sqrt(t) метров за t секунд, то за 1 секунду оно движется со скоростью:

ИНТЕГРАЛ И ОСНОВНАЯ ТЕОРЕМА АНАЛИЗА

Другое базовое понятие анализа бесконечно малых – интеграл. Он применяется для измерения площади графика функции.

Пусть у нас есть функция ƒ, определенная между числами a и b, тогда интеграл . символ интегралbaƒ(t)dt есть площадь образованной функцией фигуры. Символ символ интеграл для записи интеграла ввел Лейбниц, он является стилизацией буквы s – первой буквы слова «сумма». Почему выбор Лейбница пал именно на нее, мы увидим позже.

РИС.1

Понятие интеграла гораздо более объемное, чем понятие площади. В математике его можно использовать, чтобы рассчитывать объем, длину или центр тяжести, а в физике он соответствует понятию работы: работа, необходимая, чтобы переместить тело, на которое воздействует сила ƒ, между положениями a и b, равна символ интегралbaƒ(t)dt.

Интеграл также необходим для расчета расстояния, пройденного телом, если известен закон его движения (скорость).

Производную и интеграл связывает основная теорема анализа, согласно которой интегрирование обратно дифференцированию. Ньютон называл анализ расчетом флюксий, а мы знаем его как дифференциальное исчисление – это название предложил Лейбниц, второй изобретатель анализа бесконечно малых. Ньютон же считал интегральный анализ обратным анализу флюксий и никогда не стремился дать ему собственное наименование.

Давайте проанализируем простую физическую задачу: какое расстояние прошло тело за 4 секунды от начала движения, если к t секундам оно двигается со скоростью t² метров в секунду? Это соответствует функции v(t) = t² , которую мы уже рассматривали, и ответ равен символ интегралbat²dt. Как рассчитывается этот интеграл? Исходя из понимания интеграла как площади, его значение соответствует площади, ограниченной участком функции, имеющим параболическую форму. Точное определение интеграла – если не обращаться к геометрическому пониманию площади – сложный вопрос.

Если мы посмотрим на рисунок 1, то убедимся, что площадь состоит из вертикальных сегментов длины/(Ј), где число t принимает все значения между a и b. Рисунок предполагает, что площадь – это сумма этих сегментов. Далее, эти сегменты, будучи отрезками прямой линии, имеют ширину 0, из-за чего кажется, что их сумма не сможет образовать никакой площади. И снова мы сталкиваемся с бесконечно малым значением ширины этих сегментов, которые требуется сложить. В записи, предложенной Лейбницем, появляется понимание площади, ограниченной кривой, как суммы бесконечно малых: в соответствии с рисунком 1 каждый сегмент графика имеет высоту ƒ(t) и, по Лейбницу, бесконечно малую ширину, которую мы записываем как dt. Площадь этих сегментов равна произведению основания на высоту, то есть ƒ{t)dt, а общая площадь, которую мы хотим вычислить, будет суммой произведений: символ интегралƒ(t)dt. Какое значение следовало придать этой сумме, Лейбниц и Ньютон – основатели анализа бесконечно малых – так и не объяснили.

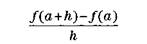
Как мы уже говорили, анализ бесконечно малых связывает производную и интеграл, а согласно основной теореме анализа производные и интегралы являются обратными величинами. Точнее говоря, если мы хотим рассчитать интеграл символ интегралbaƒ(t)dt, то в соответствии с основной теоремой анализа достаточно вычислить функцию F такую, что F'(t) = ƒ(t) для каждого числа t между a и b; тогда символ интегралbaƒ(t)dt = F(b) – F(a). (Также нужно учесть дополнительное условие – неразрывность функции ƒ.)

Рассмотрим пример: основная теорема анализа делает вычисление символ интегралbat²dt довольно простым. Понятие интеграла крайне гибко, так как в зависимости от своей интерпретации он служит для расчета площади, ограниченной параболой или спиралью Архимеда, либо, как мы видели, расстояния, пройденного телом, которое двигается со скоростью v(t)=t² .

Используя основную теорему анализа бесконечно малых, достаточно найти функцию F, производная которой будет равна t². Общая форма производной функции вида ƒ(t)=t' равна ƒ(t)-ntn-1. Отсюда получается, что производная функции

равна t² , так как F'(t)=ntn-1 =3 * t²/3=t². Таким образом:

Как мы уже говорили, расстояние, пройденное за четыре секунды телом, движущимся в течение t секунд со скоростью t² м/с, дает интеграл символ интегралbat²dt ; таким образом, достаточно подставить в предыдущую формулу а = 0 и b = 4, чтобы получить

ОТЦЫ АНАЛИЗА

До последней трети XVII века в математическом европейском мире существовал ряд методов для решения абсолютно разных задач: нахождение касательных к кривым, расчет площадей, объемов и центров тяжести, задачи максимальных и минимальных значений и т.д., которые представляют собой зачаточный этап современного анализа. Однако специфика методов, разработанных в каждом конкретном случае для решения определенных задач, не позволяет говорить об общей теории.

ПРОИЗВОДНАЯ КАК КАСАТЕЛЬНАЯ К КРИВОЙ

Прямая (секущая) и кривая могут пересекаться в нескольких точках. Математически интересный случай – когда прямая касается кривой только в одной точке Р. Эта секущая будет называться касательной, а Р – точкой касания. Для случая с кривой у = ƒ (х) определим две точки α и α + h (h – произвольное значение), как показано на рисунке. Когда функция принимает значение ƒ (α), кривая пересекается двумя прямыми: секущей (S) и касательной (7). Секущая снова пересекает кривую в точке Q, которая соответствует значению ƒ (α + h).

Рассмотрим теперь углы: α, образованный секущей с осью ординат; и β, образованный касательной с той же осью. По мере того как а уменьшается и приближается к β, прямая S все больше приближается к Т. Этот процесс эквивалентен процессу уменьшения разницы между α и α + h, из-за чего по мере того, как h стремится к 0, наклон прямой S все больше приближается к наклону прямой Т. В пределе этого сближения наклон обеих прямых будет одинаковым и связанным с производной f в точке α. Так доказывается, что значение производной функции в точке – то же, что наклон касательной к этой функции в указанной точке. Математически это выглядит так:

КАВАЛЬЕРИ И РОЖДЕНИЕ ЗНАКА БЕСКОНЕЧНОСТИ

Итальянский иезуит Бонавентура Кавальери (1598-1647) придумал метод определения площадей и объемов и описал его в трудах «Геометрия, изложенная новым способом при помощи неделимых непрерывного» (Geome- tria indivisibilibus) (1635) и «Геометрические этюды» (Exercitationes geometricae) (1647). Кавальери предложил разложить геометрические величины на бесконечное количество элементов, или неделимых, которые представляют собой последние возможные значения этого разложения.

Затем он решил представить объемы, поверхности и длины в виде бесконечной суммы неделимых. Британец Джон Валлис (1616-1703), член-основатель Королевского общества, которого можно считать прямым предшественником Ньютона и Лейбница, перевел на арифметическую основу метод неделимых Кавальери и присвоил им числовые значения, превратив таким образом анализ площадей (до того момента исключительно геометрический) в арифметический анализ. В трактате «О конических сечениях» (De sectionibus conicus) (1655) Валлис предложил представить бесконечность при помощи символа oo.

Ньютон и Лейбниц поняли, что за всеми этими внешне разными процессами стоят одни и те же фундаментальные понятия, и связали их в единое целое. Кроме того, ученые разработали несколько общих алгоритмических методов для анализа и решения самых разных задач, среди них – вычисление степеней биномов. Ньютон разработал понятие флюксий – сходное с понятием производной – и показал, что, например, чтобы рассчитать площадь, очерченную кривой, достаточно посчитать флюенту (ньютоновский аналог современных функций), то есть, другими словами, найти интеграл.

Ньютон показал, как эти понятия – дифференциал и интеграл в терминологии Лейбница – могут использоваться для решения не только частных задач касательных, максимальных и минимальных значений или расчета площади, но и бесконечного количества других. В результате ему удалось превратить набор разрозненных операций, совершенных его предшественниками, в общий математический анализ.

Очень скоро изобретение продемонстрировало удивительную эффективность. Благодаря анализу бесконечно малых сложные расчеты площадей, которые принесли Архимеду славу гения, или обратные задачи, над решением которых бились лучшие математики середины XVII века, сегодня являются или, по крайней мере, должны являться упражнениями, доступными для ученика средней школы.

Хотя об этом часто забывают, слава Ньютона и его гениальность во многом определяются его математическими способностями и воображением: талант математика, сделавший возможным удивительные открытия ученого, например анализ бесконечно малых, в значительной степени отличает его от других ученых того времени. Вспомним, например, Гука, Галлея и Рена, собравшихся в кафе и пытающихся рассчитать орбиты планет, которые зависят от притяжения Солнца. Основным инструментом, которого им не хватало для успешных вычислений, был именно анализ бесконечно малых.

Ньютон построил цельную систему мира, что превратило его в самого успешного из всех ученых. Как подметил Лагранж, «систему мира можно открыть лишь один раз». И этим открытием Ньютон обязан именно своему великолепному владению математикой. Не стоит считать ученого исключительно физиком – он был скорее натурфилософом, а еще точнее – прикладным математиком. Напомним, что по этому поводу написал Д. Т. Уайтсайд, занимавшийся изданием математических манускриптов английского гения:

«Никогда не стоит забывать, что Ньютон представлял математику сундуком с инструментами истины, видел в ней внутреннюю красоту и мощь, независимые от внешних побуждений. […] В те времена не было в мире математики ученого ни более талантливого, ни более осведомленного; никто не был таким способным в алгебре, таким искусным в геометрии, достойным и знающим все тонкости анализа бесконечно малых».

DE ANALYSI

В конце июня 1669 года, за несколько дней, Ньютон написал «Анализ с помощью уравнений с бесконечным числом членов» (De analysi), основываясь на исследованиях, которые он проводил с 1664 года. Содержание и идея этого трактата имели огромную ценность. Обнародовав его, Ньютон превратился в первооткрывателя анализа бесконечно малых, а сам «Анализ» стал великой хартией новой дисциплины. В первой части трактата Ньютон показал, каким образом, используя степенные ряды, вычисление площади можно расширить до огромного разнообразия функций. Таким образом, был сделан гигантский шаг вперед в решении проблемы расчета площади, ограниченной кривой, – вопроса, который поднимался еще греческими математиками.

Хотя могло сложиться впечатление, что Ньютон стремился найти решение для случая с определенным количеством кривых, в реальности он сделал гораздо больше: он смог обобщить процесс и вычислить некое абстрактное значение. Ньютон пишет: «Все задачи о длине кривых, об объеме и площади поверхности, а также о центре тяжести могут быть решены, когда будет вычислена площадь плоской поверхности, ограниченной кривой линией». Этими словами ученый хотел очертить границы первой части трактата, в которой был представлен общий метод, и отделить ее от второй, где был показан пример его применения. Мы можем согласиться, что результат не слишком впечатлял: Ньютон придавал огромное значение абстрактному характеру операции, хотя на этой начальной стадии, когда идея только вызревала в его голове, достаточно сложно было просто выразить ее и разъяснить. Также вероятно, что в этот период ему не хватало подходящих названий и обозначений.

Итак, требовалось решить абстрактную задачу: рассчитать функцию, зная ее производную. Кроме того, устанавливался обратный характер процесса к расчету вариации (производной) функции, и в итоге Ньютон давал алгоритмическую операцию для расчета этой вариации, хотя ее описание в «Анализе» минимально и отсутствуют ясные правила нахождения производной, как и у Лейбница. Сказанное подводит нас к тому, что работа Ньютона сделала анализ бесконечно малых реальностью.

ФЛЮЕНТЫ И ФЛЮКСИИ

Второй труд Ньютона, «О методе рядов и флюксий» (De methodis serierum etfluxionum), – самый значительный из посвященных анализу бесконечно малых, был написан через два года после «Анализа» (De analysi) но опубликован только в 1736 году, уже после смерти ученого.

В этой работе Ньютон представляет понятия флюенты и флюксии. Первая (флюента) – это переменная, меняющая свое значение с течением времени, вторая (флюксия) – производная этой переменной по времени:

«В дальнейшем я буду называть флюентами, или текущими величинами, величины, которые я рассматриваю как постепенно и неопределенно возрастающие; обозначать я их буду последними буквами алфавита u, у, х и z, чтобы их было возможно отличать от других величин, которые рассматриваются в уравнениях как известные и определенные и которые поэтому обозначаются первыми буквами алфавита а, b, с и т.д. Скорости, с которыми возрастают вследствие порождающего их движения отдельные флюенты (и которые я называю флюксиями, или просто скоростями или быстротами), я буду обозначать теми же буквами, но пунктированными, например v', х', у', z'».

Чтобы продемонстрировать потенциал своего анализа бесконечно малых, Ньютон применил его в работе «О методе» (De methodis) при решении почти всех задач о расчете площадей, касательных, кривых, объемов или расстояний, максимальных и минимальных величин, центров тяжести и рассмотрении других вопросов, которые занимали умы его предшественников в течение почти века. В работе «О методе» (De methodis) очевиден вклад Ньютона в открытие анализа: он четко определил понятия флюенты и флюксии как элементов теории, дал простые алгоритмы для расчета флюксии флюенты, а также привел примеры задач, которые новые понятия позволяют решить. Это разграничение абстрактных элементов теории и ее конкретного применения для решения колоссального количества задач позволяет признать за Ньютоном – и Лейбницем – открытие анализа.

МАКСИМУМЫ И МИНИМУМЫ

Одно из многочисленных применений анализа бесконечно малых – это определение максимальных и минимальных значений функции, фундаментальных, к примеру, для процессов оптимизации в технике. Сравним кривую, описанную функцией у = х³ -3х.

Ясно, что у функции есть абсолютный минимум и максимум. Если проследить за ней слева, кривая стремится к бесконечности вниз; если справа, кривая идет к бесконечности вверх. Максимальное и минимальное значения, соответственно, +oo и -oo.

Но вместе с этими абсолютными значениями есть другие точки кривой, которые являются максимальными и минимальными точками, а именно:

(-1; 2) и (1; -2). Метод анализа бесконечно малых Ньютона позволяет легко определить такие точки, опираясь на понятие производной. Одним из свойств производной является то, что ее значение в заданной точке – то же, что и значение наклона касательной к функции в той же точке. Однако в точке максимума или минимума касательная является горизонтальной прямой и ее наклон равен нулю.

Следовательно, производная функции в указанной точке тоже будет равна нулю. В нашем примере f(x) = х³ -3х, производная f'(x) = 3х² -3. Соответственно, нас интересуют значения х, при которых выполняется равенство 3х² -3 = 0. Как и можно было ожидать, мы получим значения х = 1 и х = -1.

ИРРАЦИОНАЛЬНЫЙ СТРАХ ПУБЛИКАЦИЙ

Читатель наверняка уже заметил некоторые детали, связанные с двумя упомянутыми работами Ньютона. Первую, «Анализ», ученый написал в 1669 году, но не публиковал ее целых 42 года, до 1711-го! А вторая, «О методе», была закончена в 1671 году, но увидела свет только в 1736-м, то есть через 65 лет после ее завершения и через девять лет после смерти Ньютона! Следует отметить, что в те годы термин «публиковать» имел несколько иное значение, нежели сейчас. Сегодня «публиковать» означает «доводить что-либо до сведения заинтересованных лиц посредством периодического издания или книги», но тогда таких каналов, как периодические издания, например журналы, практически не существовало, распространение они получили несколько десятилетий спустя. Для современников Ньютона «публиковать» означало выпустить рукопись, причем даже необязательно в печатной форме, для ограниченной группы заинтересованных людей. Несмотря на уговоры, Ньютон всячески уклонялся от того, чтобы обнародовать свои работы, и это можно считать проявлением одной из фобий ученого.

Прекрасно иллюстрируют эту фобию меры предосторожности, которые предпринял автор «Анализа» при публикации работы. Как только трактат был написан и весь мир должен был узнать о новом гении, Ньютон показал работу Исааку Барроу, который в то время был лукасовским профессором в Кембридже. Лукасовская кафедра, единственная из восьми кафедр университета, специализировалась, как мы бы сказали сейчас, на математике и натурфилософии. Барроу был в некотором роде предтечей анализа, он ближе кого бы то ни было подошел к Ньютону и Лейбницу в своих открытиях, но незнание аналитической геометрии Декарта не позволило ему развить алгоритмические методы, применяющиеся в анализе бесконечно малых. Когда Ньютон показал ему свою работу, Барроу предложил немедленно отправить трактат Джону Коллинзу, члену Королевского общества, который занимался распространением информации о последних достижениях и новостей в области математики. Тут Ньютон впервые проявил свое нежелание публиковаться: ведь показывать свой труд публике, заявив об открытии, означало также подвергнуть себя критике.

Титульный лист сохранившегося издания «Анализа».

Расчет площадей в первой тетради, посвященной Ньютоном исключительно математическим вопросам. Начало 1660-х.

Расчет бесконечных рядов из тетради, куда Ньютон записывал большую часть своих работ, связанных с анализом.

В начале июля 1669 года Ньютон позволил Барроу лишь проинформировать Коллинза, что он получил в свое распоряжение «Анализ», но запретил упоминать имя автора. Барроу отправил Коллинзу записку следующего содержания:

«Некий друг, живущий среди нас, исключительно талантливый в этих вопросах, прислал мне позавчера несколько писем, в которых он описывает метод […] в высшей степени всеобщий; я пришлю вам одно из них вместе с моим следующим письмом, уверен, вы получите от прочтения невыразимое удовольствие».

Одиннадцать дней спустя Ньютон дал согласие на то, чтобы Барроу выслал Коллинзу копию «Анализа», хотя и настаивал на сохранении своей анонимности и последующем возвращении книги. Обратите внимание, что Барроу в своем письме ниже говорит о «прочтении», а не «снятии копии» – намек на то, что отправленное предназначается только для глаз Коллинза:

«Высылаю вам обещанные письма моего друга, изучение которых принесет вам истинное наслаждение, как я на то надеюсь. Прошу вас вернуть их, когда вы их прочтете и когда вам будет это удобно; об этом попросил меня мой друг после того, как я уговорил его позволить мне показать его работу. Поэтому умоляю вас сообщить мне как можно быстрее, как только вы их получите, что они у вас, так как я волнуюсь об их сохранности; я отправил вам письма почтой, чтобы они попали к вам как можно скорее».

Коллинз изучил «Анализ» и поделился с Барроу своим восторгом, и только после этого Ньютон позволил раскрыть свое имя. Вскоре Коллинз вернул «Анализ» Ньютону через Барроу, но сначала собственноручно переписал его. Эту копию, вместе с письмами Барроу, нашел английский математик Уильям Джонс среди документов Коллинза, попавших к нему в 1708 году. Находка натолкнула его на мысль предложить Ньютону издать «Анализ», который в конце концов увидел свет в 1711 году. Эти же письма, когда разгорелся спор Ньютона с Лейбницем о первенстве в открытии анализа, послужили доказательствами, подтверждающими приоритет Ньютона. До конца 1669 года Коллинз и Барроу просили у Ньютона разрешения опубликовать «Анализ», но так и не добились положительного ответа. Как написал Ричард Уэстфол, намекая на спор с Лейбницем, «мнительность Ньютона сеяла семена ожесточенных конфликтов».

Его неуступчивость была тем сильнее, чем более ученый осознавал логические пробелы внутри самого метода: понятие флюксии и правила ее определения, как и дифференциал Лейбница или многочисленные искусные манипуляции с бесконечно малыми предшественников, основывались на так называемых бесконечных количествах. Это были бесконечно малые величины, стремящиеся к нулю, что позволяло при необходимости их не учитывать; однако, поскольку они все же не равнялись нулю, они могли выступать делителем. Было очевидно, что речь идет о крайне неоднозначном математическом понятии, но как Ньютон ни старался избежать его использования, это ему не удалось.

В другой своей работе об анализе, «О квадратуре кривых» (De quadratura curvarum), опубликованной в 1704 году в качестве приложения к «Оптике», Ньютон рассказывает об исчезающем увеличении, близком к математической идее предела, который в XIX веке будут использовать Бернард Больцано и французский математик Огюстен Луи Коши в качестве обоснования современного анализа бесконечно малых.

Ньютон осознавал слабость теории и противился каким- либо публикациям, хотя среди его друзей ходили несколько рукописных копий его работ. Страх ученого повлиял и на его ключевой труд «Математические начала…». В них Ньютон использовал геометрический язык греков, сложный, но более точный с позиций логики. В любом случае, небольшие отрывки, посвященные анализу, содержатся в «Математических началах натуральной философии».

БЕСКОНЕЧНО МАЛЫЕ ВЕЛИЧИНЫ

Бесконечность, сущность метода анализа бесконечно малых, маскируется в делении нуля на ноль, которое появляется каждый раз, когда мы хотим вычислить производную. Как говорилось ранее, частное

необходимое при определении производной, нас интересует только в том случае, когда h = 0. Эти величины, близкие к нулю, но не равные ему, математики XVII века называли бесконечно малыми величинами.

Напомним, что бесконечно малые появляются также в интеграле, в форме сегментов нулевой ширины, сумма которых, однако, чудесным образом формирует площадь. В чем смысл этой суммы? Ни Ньютон, ни Лейбниц этого не объяснили. Первоначальный анализ бесконечно малых, который эти ученые создали, а другие математики XVIII века позднее усовершенствовали, можно описать как искусство оперировать бесконечно малыми величинами. Парадокс в том, что никто из этих математических гениев так и не определил, хотя бы с минимальной точностью, что это за величины.

ЛУКАСОВСКАЯ КАФЕДРА

Научная карьера Ньютона в Тринити-колледже Кембриджского университета была поистине фантастической: уже в 1669 году, спустя восемь лет после приезда, он был назначен лукасовским профессором.

Лукасовская кафедра была создана в Кембридже в середине 1660-1670-х годов в соответствии с завещанием Генри Лукаса и просуществовала до наших дней (до 2009 года ее возглавлял один из самых видных представителей науки, Стивен Хокинг). Стипендия, которую завещал Лукас, превращала эту академическую должность в одну из самых престижных. Как мы уже сказали, лукасовская кафедра была в то время единственной из восьми, которая специализировалась на математике и натурфилософии: профессор должен был читать лекции по геометрии, астрономии, географии, оптике, математическим дисциплинам и каждый год передавать в университетскую библиотеку тексты минимум десяти своих докладов. За невыполнение этого условия на профессора налагался штраф, но, кажется, Ньютон, редко следовавший этому правилу, никогда взысканию не подвергался. Как утверждал один его современник, «немногие ходили слушать лекции Ньютона, еще меньше было тех, кто их понимал; в отсутствии слушателей он часто вещал в пустых стенах».

ОТСТАВКА БАРРОУ

Некоторые источники говорят, что Барроу (на иллюстрации) подал в отставку, поскольку был в восторге от необыкновенных способностей Ньютона. Впрочем, эту историю, как и многие другие, повествующие о гениальности ученого, распространял и сам Ньютон: он сказал аббату Конти – человеку, с которым сдружился на почве конфликта с Лейбницем, – о своем первенстве в открытии анализа бесконечно малых, отметив, что он в шести строках уместил решение задачи, в то время как Барроу после долгих попыток предложил более сложное и длинное решение. Тогда Барроу и объявил о своем уходе с кафедры, якобы заявив, что Ньютон – более компетентный и более способный ученый. Без сомнения, отставка Барроу имела другую причину. Глава кафедры был больше теологом, чем математиком, и хотел посвятить себя своему призванию; кроме того, он стремился к должности, имевшей большее политическое влияние. И действительно, на следующий год после своей отставки Барроу был назначен королевским духовником, а спустя два года – главой Тринити-колледжа, и эта должность, в соответствии с уставом кафедры, была несовместима с должностью ее профессора. В любом случае, Барроу покинул свой пост.

Со дня основания Лукасовской кафедры ее возглавлял Исаак Барроу, но летом 1669 года он решил оставить этот пост, предложив Ньютона в качестве своего преемника.

Два душеприказчика Лукаса, ответственные за назначение нового профессора, к тому времени уже достигли солидного возраста и были очень польщены тем, что Барроу собирался посвятить им одну из своих книг, так что они поддержали его предложение. И 29 октября 1669 года Ньютон был назначен лукасовским профессором.

МОНАШЕСКАЯ ЖИЗНЬ В КЭМБРИДЖЕ

Одно из самых любопытных зданий Кембриджа – библиотека Тринити-колледжа. Именно Исаак Барроу в 1675 году стал инициатором ее строительства, что в конце концов вызвало большие финансовые трудности для колледжа. Спроектированная в 1676 году известным ученым Кристофером Реном и завершенная через 20 лет строительства библиотека нуждалась в пожертвованиях профессоров. Надо сказать, что участие Ньютона было более чем скромным: он сделал маленькое пожертвование и дал небольшую сумму в долг, чтобы помочь покрыть расходы.

Ньютон жил в Тринити, но не отдал ему своего сердца.

Ричард Уэстфол в книге «Жизнь Исаака Ньютона»

Ньютон провел в Кембридже 35 лет. За эти годы он сделал все свои замечательные открытия, хотя большую часть времени уделял и другим занятиям – теологии, библейской истории и особенно алхимии. Ньютон, конечно же, был гением, но также он отличался невероятной работоспособностью, которую сохранял всю жизнь. В Кембридже он занимался только исследованиями и работой, забывая иногда есть и спать. По этому поводу Уильям Стьюкли, один из его первых биографов, вспоминал:

«Ученый уходил в себя до такой степени, что пока он собирался обедать, со стола уже снимали скатерть. Или мог пригласить в свою комнату друзей, уйти в мастерскую за бутылкой вина и остаться там размышлять над внезапно посетившей его идеей, напрочь забыв о гостях. Он всегда был занят исследованиями, все время проводил в мастерской и крайне редко сам наносил визиты. Гостей он также редко принимал. Ученый почти никогда не ужинал в столовой, за исключением редких дней, когда он появлялся там непричесанным, в поношенной обуви и со спущенными чулками».

Годы в Кембридже были для Ньютона годами одиночества – подходящих собеседников для научных дискуссий он так и не нашел. Как написал Уэстфол, «философ в поиске истины, он оказался среди чиновников в поиске должности. Это было фоном всей его творческой жизни».

У Ньютона почти не было друзей. В молодости, в 1660-х и 1670-х годах, Ньютону было легче общаться с людьми более старшего возраста, чем он сам, – это подтверждают его научные контакты с Генри Мором (родился в 1614 году), Джоном Валлисом (1616 год), Джоном Коллинзом (1625), Генри Олденбур- гом (1626), Исааком Барроу (1630) или Кристофером Реном (1632). При этом сам Ньютон, напомним, родился в 1642 году. Да и это общение нельзя было назвать дружеским, оно ограничивалось академической сферой.

Известна едва ли пара имен сверстников ученого, с которыми он поддерживал отношения в годы, проведенные в Кембридже, – пусть не дружеские, но хотя бы представляющие собой чуть больше, чем просто поверхностное общение. Заводить друзей Ньютону мешало его чрезмерное пуританство. Ученый, например, разорвал отношения с Джоном Вигани, итальянским преподавателем химии в Кембридже, потому что тот рассказал Исааку непристойную историю о монахине.

КОМНАТЫ НЬЮТОНА В КЕМБРИДЖЕ

Тринити-колледж предоставлял всем членам учебного корпуса индивидуальное жилье. Несмотря на то что Ньютон получил этот статус в октябре 1667 года, а Уикинс – чуть позже, они продолжали жить вместе и, похоже, сдавали выделенное им жилье. Ньютон потратил порядочную сумму весной 1667 года на ремонт их с Уикинсом комнат: поменял стекла в окнах, починил дымоход, перекрасил стены и купил мебель – среди предметов обстановки были даже два испанских стола и новые ковры. Сын Уикинса знал, как его отец и Ньютон познакомились, и этот рассказ позволяет оценить, насколько одинок был ученый в свои первые годы в Кембридже.

«Близкая дружба моего отца с сэром Исааком началась с обычной случайности. Однажды, находясь в печальном расположении духа, мой отец отправился на прогулку и встретил господина Ньютона, одинокого и грустного. Они разговорились и обнаружили, что причина их одиночества одна и та же; тогда они решили оставить своих беспутных товарищей и жить в одной комнате, что они и сделали так скоро, как смогли, и жили вместе, пока мой отец был в колледже».

Одним из людей, с которыми Ньютон поддерживал дружеское общение, был Джон Уикинс, сосед Исаака по комнате в Кембридже с января 1663 года до 1683-го. Уикинс также ассистировал ему в качестве секретаря. В 1683 году Уикинс покинул Кембридж, приняв пост викария, а когда для Ньютона наступило время материального благополучия, он выслал Джону экземпляры Библии для бедных прихожан.

В годы своего пребывания в Кембридже Ньютон практически не отлучался из Тринити-колледжа. Если не считать anni mirabiles, самый долгий период, который ученый провел вне стен университета, был в 1679 году, когда умерла его мать.

НЬЮТОН-МИСТИК

Биографы Ньютона представляли ученого как гения-отшельника, прячущегося в своей комнате в Кембридже, сосредоточенного на своих исследованиях в оптике, физике и математике, сыгравших поразительную роль в развитии науки. Именно в этот период Ньютона начинают воспринимать как настоящего гения.

Однако сегодня мы можем составить более сложный и более полный образ Ньютона. Как подтверждает огромное количество его рукописей, в Тринити, да и в последующие годы, ученый посвящал себя не только науке. Его труды, написанные в Кембридже, говорят о Ньютоне также как о человеке, пытающемся постичь алхимию и найти аргументы, которые укрепили бы его в арианском вероучении.

Огромный научный авторитет Ньютона, его незаурядное положение в истории науки на одном уровне с Архимедом, Эйнштейном или Дарвином объясняются масштабом его работ: Philosophiae naturalis principia mathematica («Математические начала натуральной философии», 1687), Opticks: or а treatise of the reflections, refractions, inflections and colours of light («Оптика, или Трактат об отражениях, преломлениях, изгибаниях и цветах света», 1704), De analysi per aequationes numero terminorum infinitas («Анализ с помощью уравнений с бесконечным числом членов», 1711) или Methodus flwcionum («Метод флюксий», 1736). Еще полвека назад нам было недоступно глубокое понимание сложнейшей личности ученого. Дата 13 июля 1936 года стала новой вехой в истории о Ньютоне. В этот день на аукцион «Сотбис» были выставлены 332 лота из коллекции Портсмут, включавшие рукописи Ньютона, его переписку и личные предметы ученого. История этих бумаг завораживает и открывает нам подлинную личность Ньютона, которая оказалась более сложной и интересной, чем о ней было принято думать.

НАСЛЕДНИКИ ГЕНИЯ

После смерти Ньютона, который не оставил завещания, произошло несколько споров между возможными наследниками (всего их было восемь) – потомками детей матери Ньютона от ее второго мужа. Почти все они, за исключением любимой племянницы, Кэтрин Бартон, и ее мужа, Джона Кондуитта, хотели получить деньги из наследства ученого. Родственники начали торговать книгами из библиотеки Ньютона, а затем в июле 1727 года полностью продали ее некоему Джону Хаггинсу. Также они продали все записи, которые были в порядке и могли быть пригодны для публикации. Документы и рукописи, не нашедшие покупателя, были переданы дочери господина и госпожи Кондуитт, которая вышла замуж за виконта Лимингтона. Позднее эти документы перешли к их сыну, второму графу Портсмутскому – отсюда название «коллекция Портсмут», под которым известно наследство Ньютона. В 1872 году рукописи впервые начали каталогизировать, для чего они были отданы на хранение в Кембридж. Результат работы был опубликован в 1888 году, а сами документы вернулись в семью Портсмут, за исключением рукописей, связанных с математикой, части корреспонденции и некоторых книг, которые семья передала Кембриджу.

Издание «Начал» Евклида с заметками самого Ньютона – одно из сокровищ коллекции Портсмут.

Количество сохранившихся рукописей, писем и других документов огромно, несмотря на то что, возможно, часть переписки в последние месяцы своей жизни ученый сжег. Вероятнее всего, погибли письма, полученные от матери, некоторые научные работы, которые сам Ньютон мог посчитать недостаточно удачными, и другие записи, которые ему показались не заслуживающими интереса, – если, конечно, таковые были.

Часть наследства, в основном математические заметки и письма, перешла в 1888 году университету Кембриджа; оставшаяся часть была выставлена на аукцион «Сотбис»: все рукописи по алхимии, химии и делам казначейства, все материалы, собранные Джоном Кондуиттом, мужем племянницы Ньютона Кэтрин Бартон, для написания будущей биографии Ньютона; большое количество написанных или полученных писем, тетрадей времен молодости Ньютона, работы по хронологии, теологии, два великолепных портрета – один из них работы Кнеллера, написанный в 1702 году, и посмертная маска – все это было продано за два дня за немногим больше чем 9000 фунтов. Легко представить разочарование, которое должен был испытать девятый граф Портсмутский, который выставил все эти вещи на продажу, потому что нуждался в наличных.

ПОСЛЕДНИЙ ИЗ МАГОВ

Возмущенный проведенным аукционом и тем, что бумаги Ньютона разошлись по разным рукам, известный экономист Джон Мейнард Кейнс решил выкупить личные документы ученого и его рукописи по алхимии, хронологии, истории и теологии, пока не собрал значительную часть распроданного на аукционе.

Кейнс завещал свою коллекцию Кингс-колледжу Кембриджского университета, где она и хранится сегодня.

Кроме него, поиску наследия Ньютона посвятили себя и другие. Востоковед Абрахам С. Е. Ягуда смог приобрести большую часть текстов по теологии – некоторые он передал Кейнсу. Ягуда завещал свою коллекцию Национальной библиотеке Израиля в Иерусалиме, куда она и попала в 1966 году.

После Второй мировой войны началось интенсивное изучение трудов и личности Ньютона – подобная работа не проводилась в отношении никакого другого ученого. Объясняется это прежде всего тем, что на аукционе «Сотбис» на всеобщее обозрение было выставлено практически нетронутое сокровище – рукописи Ньютона. В результате историческое восприятие Ньютона как ученого и человека претерпело некоторые изменения, которые описывает известная цитата Джона Мейнарда Кейнса:

«Ньютон не был первым ученым Века Разума. Он был последним из магов, последним из вавилонян и шумеров. Это последний великий ум, который вошел в обозримый интеллектуальный мир с теми же глазами, как у тех, кто еще 10 000 лет назад заложил первый кирпич в интеллектуальное достояние человечества».

Вместо образа отца современной физики, создателя закона всемирного тяготения, автора глубоких и вдумчивых работ о природе света и цвета, изобретателя анализа бесконечно малых, гениального провидца, который так старательно распространял сам Ньютон, в его рукописях мы видим более сложного и поэтому более реального человека. Он интересовался не только научными вопросами, но большую часть времени посвящал изучению неясных теологических проблем, алхимической практике, находясь на полпути между экспериментом и мистикой. Рукописи говорят о том, что Ньютон был не только автором «Математических начал» или «Оптики» – его перу также принадлежат библейские хронологии и исследования божественной природы трех фигур христианской Троицы. Анализу тем сомнительной научной важности (даже для той эпохи) Ньютон посвятил гораздо больше страниц, чем темам научным.

Рукописи ставят под сомнение и образ Ньютона-гения, который без каких-либо усилий заложил колоссальный научный фундамент. Напротив, его работа была нескончаемой и изнурительной; безостановочный труд – вот о чем говорит Уэстфол в названии своей биографической книги, посвященной ученому – «Ни дня отдыха: биография сэра Исаака Ньютона». «Его рукописи доказывают,- говорит Уэстфол,- что Ньютон совершал ошибки и учился на них, шел в неверных направлениях и не сразу понимал значения своих собственных идей. Так и есть, рукописи раскрывают человеческую составляющую, которую можно понять, в то время как вспышки гениальности – нет». Давайте проанализируем этого неизвестного Ньютона.

БИБЛИОТЕКА НЬЮТОНА

Прекрасное представление об интересах Ньютона дает содержание его библиотеки, которое нам известно достаточно подробно благодаря исследованию, опубликованному в 1978 году библиотекарем Джоном Харрисоном. Среди многих томов библиотеки заслуживают упоминания научные книги, посвященные: алхимии (138) и химии (31), вместе они составляли примерно 9% библиотеки; математике (126, или 7 %); медицине и анатомии (57, или 3,5%); физике (52, или 3%); астрономии (33, или 2%). Ненаучные книги: классическая литература, греческая и латинская (149, или 8%); история (143); справочники (90, или 5%) и теология. Среди теологических книг насчитываются: общие произведения (205); Библия, Заветы и библейские учения (99); отцы церкви (61); история церкви (28); религиозные полемики (28); иудейские ритуалы и обычаи (24) и другие (32); итого 477 книг, или 27 % его библиотеки. Таким образом, только 25 % из почти 1800 книг, входивших в библиотеку на момент смерти Ньютона, могут классифицироваться как имеющие научное содержание. Впрочем, надо иметь в виду, что в то время в Кембридже гораздо легче было найти не научные работы, а работы, посвященные другим темам.

«ДОЧЬ САТУРНА И ОДНОЙ ИЗ ГОЛУБОК»

Интерес Ньютона к алхимии возник практически одновременно с тем, как он возглавил лукасовскую кафедру Из его Тетради Фицуильям – той самой, с признаниями грехов, – мы знаем, что в 1669 году Ньютон отправился в Лондон, чтобы купить собрание сочинений по алхимии и оборудование для экспериментов: печи, реторты, котлы, химические реактивы и т.д.

Из всех занятий Ньютона алхимия – одно из самых малоизвестных. Этот пробел можно объяснить тем, что алхимия требует скрытности, она стоит между философией, магией и наукой; во все времена эта деятельность была закрытой, а практикующие ее считались колдунами и чернокнижниками. И это неудивительно, принимая во внимание, что одна из главных целей алхимических опытов – получить философский камень, необыкновенное вещество, позволяющее превращать свинец и другие простые металлы в золото, а вторая главная цель – не больше и не меньше, чем создание эликсира вечной молодости, то есть напитка, способного продлить жизнь.

Ситуация начала меняться в XVII веке, с превращением алхимии в химию, хотя даже до XVIII века разделить эти дисциплины было сложно. Возможно, лучше всего проиллюстрировать это слияние сможет фигура Роберта Бойля (1627- 1691). Бойль сформулировал основные научные законы, такие как закон, который сегодня носит его имя, об обратной связи между давлением и объемом в газообразном веществе, а также защищал научный метод Бэкона, основанный на разуме и эксперименте. С другой стороны, Бойль не скрывал своих занятий алхимией и верил в возможность превращения металлов и существование философского камня. Если Барроу был наставником Ньютона в том, что касалось математики и оптики, то Бойль, с которым ученый поддерживал интенсивную переписку, играл ту же роль в области химии и алхимии. Барроу и Бойль даже чувствовали что-то вроде ревности друг к другу и соперничали за влияние на Ньютона. Быть может, в алхимии его интересовал не поиск философского камня, а возможность углубить свои знания о материи и веществах, составляющих физический мир, созданный Богом.

Ньютон в возрасте 59 лет. Эта картина работы художника Готфрида Кнеллера, самый известный портрет ученого, стала одним из лотов на «Сотбисе» в 1936 году.

Интерес Ньютона к алхимии заставил его пройти первый теоретический этап: он не только прочитал книги и рукописи, но и посвятил много времени экспериментам, для чего оборудовал лабораторию в одной из своих комнат в Тринити-кол- ледже, которая примыкала к готической часовне университета.

Занятия алхимией для Ньютона не были промежуточным этапом при переходе к серьезной и «рациональной» химии. Наоборот, он начал с серьезной химии и достаточно быстро покинул ее ради, как он думал, глубины алхимии.

Ричард С. Уэстфол, «Жизнь Исаака Ньютона»

Кроме всего прочего, эксперименты были достаточно рискованными. Прежде всего, для их проведения нужно было отбросить всякую брезгливость: «Возьмите бочонок мочи» – так начинался рецепт производства фосфора. Кроме того, часто опыты были опасны для здоровья. Когда в 1670 году волосы Ньютона тронула седина, его сосед по комнате, Уикинс, предположил, что причиной этого является время, проведенное в думах. Ньютон в ответ расхохотался – и это один из немногих известных нам случаев, когда Ньютона видели хохочущим, – и объяснил свою седину экспериментами с серебром, которые он проводил достаточно часто. Вероятно, испарения серебра были не так вредны для здоровья в сравнении с гораздо более токсичными испарениями ртути – металла, длительная работа с которым могла быть одним из катализаторов нервного кризиса, пережитого Ньютоном в 1693 году.

Эти эксперименты требовали полной самоотдачи и изнурительной работы, что предполагало, например, бессонные ночи и приготовление зловонных снадобий. Вот как это описывает один из помощников ученого:

«Ньютон почти не спал, особенно весной и осенью, когда имел обыкновение проводить шесть недель в своей лаборатории, с огнем, горящим днем и ночью, всю ночь на ногах, пока не завершал свои химические эксперименты, над которыми работал скрупулезно, тщательно и с большой точностью. Он не всегда мог объяснить свои цели, но жертвенность и усердие, проявленные в некоторые периоды, заставляют меня думать, что он хотел добиться того, что находится далеко за пределами человеческих возможностей».

Несложно представить Ньютона-алхимика, стоящего у кипящих котлов, перемешивающего жидкости в ретортах, плавящего металлы в клубах ядовитого пара от растворов, солей и кислот.

Некоторые сохранившиеся рукописи помогают сделать образ ученого более живым и ярким; например, записи, рассказывающие о кульминационном моменте его алхимических изысканий датируются весной 1681 года. Ежедневно, по мере того как продвигались эксперименты, Ньютон записывал на туманном языке, свойственном алхимии, свои интерпретации происходившего в лаборатории: «Я понял, что утренняя звезда – это Венера, и что она – дочь Сатурна и одной из голубок», – гласит запись от 10 мая. Пять дней спустя он добавляет: «Я понял: действительно существуют некоторые сублиматы Меркурия и т.д., например другая голубка – это сублимат, извлеченный из нечистот ее мягкого тела, – оставляет черный осадок на дне раствора, и ртуть снова расширяется, пока полностью не исчезает со дна осадок». Три дня спустя все становится еще интереснее: «Я усовершенствовал идеальный раствор. Две одинаковые соли восходят к Сатурну. Затем он – к камню и, соединенный с тягучим Юпитером, тоже создает […] и пропорцию, такую, что Юпитер хватает посох. Затем орел поднимается к Юпитеру. Оттуда Сатурн может соединяться без солей в желаемых пропорциях. Наконец, ртуть сублимируется, и соль аммиака ударяет по шлему, и ртуть восходит ко всему». Тот факт, что некоторые из этих параграфов позднее были яростно вычеркнуты Ньютоном, показывает, что его ожидания закончились неудачей.

Подобные записи вызывают сегодня некоторое замешательство, если не знать, что эти мифологические названия, выдающие связь алхимии с астрологией, означают металлы и вещества: Юпитер, например, соответствует олову, а Сатурн – свинцу.

Алхимический опыт, полученный Ньютоном за годы в Тринити-колледже, неожиданно оказался полезным. После того как ученый в конце XVII века покинул университет, он стал главой английского монетного двора, и каждый раз, когда нужно было чеканить монеты и определять подходящие сплавы, его знания в области химии были как нельзя кстати.

ПРИВЕРЖЕНЕЦ АРИАНСТВА В КОЛЛЕДЖЕ СВЯТОЙ И НЕДЕЛИМОЙ ТРОИЦЫ

Религиозность Ньютона – одна из характеристик его личности, на которую открытые рукописи пролили новый и удивительный свет, посвятив нас в его занятия теологией и библейской историографией. Хотя его записи о теологии до 1672 года не сохранились, очень возможно, что это увлечение имеет своим истоком маленькую библиотеку, унаследованную Исааком от своего отчима, англиканского пастора Барнабаса Смита. Возглавив лукасовскую кафедру, ученый начал всеобъемлющее изучение библейских текстов, которое скоро превратило его в приверженца арианства: он верил, что из трех персоналий христианской Троицы – Отца, Сына и Святого Духа – только Отец имел божественную природу.

Понемногу Ньютон убеждался, что Троица была ошибочной догмой и что не существует другого Бога, кроме Бога Отца. Он тщательно изучил Библию в поиске всех возможных ошибок и расхождений с первоначальным вариантом, которые позволили обосновать догму Троицы, – для этого Ньютон выучил греческий и немного иврит.

Это усилие принесло свои плоды: ученый был уверен, что нашел в Библии около двух десятков мест, где была извращена идея Троицы. Например, стихи 7 и 8 главы 5 Первого Послания Иоанна, версия вульгата (латинский перевод Библии, сделанный святым Иеронимом в V веке), говорят: «Ибо три свидетельствуют на небе: Отец, Слово и Святой Дух, и сии три суть едино; и три свидетельствуют на земле: Дух, вода и кровь, и сии три об одном». Ньютон утверждал, что в оригинальном стихе говорилось: «Ибо три свидетельствуют на небе: Дух, вода и кровь, и сии три об одном». Ньютон отстаивал точку зрения, что дополнительной фразы, приведенной в вульгате, нет ни в греческих рукописях, ни в более древних версиях. Принимая во внимание деликатность ситуации – такое еретическое убеждение могло иметь страшные последствия для своего приверженца, – Ньютон был очень осторожен со своими открытиями и делился ими лишь с несколькими арианами, например философом Джоном Локком, кому он рассказал о своих находках в письме, датированном концом 1690 года.

Возможно, Ньютон считал обнаружение искаженных глав о Троице самым важным и значительным из своих достижений. Уэстфол описывает это следующим образом:

«Несложно представить, какое гнетущее чувство испытывал Ньютон, сделав это открытие и вынужденный посвящать свое внимание менее значительным занятиям, таким как оптика или математика, в то время как на его плечах покоился груз ответственности за новую интерпретацию центральной идеи всей европейской цивилизации».

За безупречной и успешной научной карьерой, от молодого Лукасовского профессора в Кембридже до члена парламента Англии, от скрупулезного чиновника казначейства до всесильного президента Королевского общества, стоит тайна, которую невозможно было раскрыть и которую мы знаем благодаря рукописям, проданным с аукциона «Сотбис». Убежденное арианство, которое сопровождало Ньютона всю жизнь начиная с молодости, могло стать причиной отстранения ученого от любой из должностей, если бы выявилась его приверженность к этому христианскому учению.

МУКИ СОВЕСТИ

Возможно, что первые занятия теологией, начатые примерно в 1672 году, были связаны с тем фактом, что пост в Тринити-колледже обязывал Ньютона принять сан англиканского священника. Срок принятия обетов заканчивался в 1675 году, а к тому времени Ньютон уже был убежденным арианином. Особая ирония заключается и в том, что колледж в Кембридже, где Ньютон – ярый противник идеи Троицы – провел три с половиной десятилетия своей жизни, носит имя Святой и Неделимой Троицы. Обязанный принять обеты, Ньютон оказался перед серьезной моральной дилеммой. По некоторым сохранившимся записям можно угадать, что после того, как мягкие попытки уклониться от обета не дали результата, Ньютон собирался отвергнуть должность, не сообщая никому о причинах отказа. Однако вопрос волшебным образом решился сам собой: в последний момент пришло королевское разрешение, освобождавшее Лукасовского профессора от принятия обетов в случае его нежелания. Обратите внимание на нюанс: имя Ньютона не упоминалось, и говорилось, что это право имеет тот, кто возглавляет лукасовскую кафедру, кем бы он ни был. Возможно, за этой привилегией стояла фигура Исаака Барроу.

Однако интерес Ньютона к Библии и теологии распространялся далеко за пределы интерпретации идеи Троицы. На теологические темы он написал многие тысячи страниц. Его работы включали детально описанные исследования пророчеств (Ньютон проявлял определенный, хотя и не чрезмерный, интерес к дате второго пришествия Христа), древних библейских царств и даже подробную реконструкцию храма Соломона с его точными размерами и описаниями предметов культа, упомянутых в священных текстах.

Две из его книг, опубликованных наследниками после смерти ученого, включали ничтожную часть записей Ньютона о пророчествах и хронологии царств: The chronology of Ancient Kingdoms amended («Исправленная хронология Древних Царств», 1728) и Observations upon the Prophecies of Daniel and the Apocalypse of St.John («Замечания на книгу пророка Даниила и Апокалипсису Святого Иоанна», 1733). Это были единственные источники, рассказывающие об увлечении Ньютона теологией, пока в 1936 году аукцион не привлек внимание к наследию ученого.

Любопытна сама история появления The chronology («Хронологии»). Принцесса Уэльская попросила в 1716 году копию хронологических исследований Ньютона о царствах Ветхого Завета. Королевская просьба заставила ученого пойти на уступку: работы необходимо было вначале очистить от возможных арианских утверждений. Ньютон решил вручить принцессе лишь очерк, который в итоге был опубликован. Выдержки вызвали суровую критику, особенно во Франции, и Ньютон в качестве ответа решил напечатать трактат полностью. Он умер в марте 1727 года, занимаясь подготовкой книги к изданию.

Более 800 000 книг и аудиокниг! 📚

Получи 2 месяца Литрес Подписки в подарок и наслаждайся неограниченным чтением

ПОЛУЧИТЬ ПОДАРОК