Глава 4. Африканцы
Интеллект африканцев в Африке южнее Сахары
Студенты университетов в Африке
Африканцы островов Карибского моря и Латинской Америки
Афроамериканцы в Соединенных Штатах Америки
Африканцы в Великобритании
Африканцы в Нидерландах
Африканцы в Израиле
Кратковременная память и скорость восприятия у африканцев
Музыкальные способности
Время реакции
Размер мозга африканцев и европейцев
Африканско-европейские гибриды
Наследуемость интеллекта у афроамериканцев
Генетические средовые и объяснения различий IQ африканцев и европейцев
Оценка генотипного IQ у африканцев
Термин «африканцы» используется нами для обозначения основных аборигенных народов, обитающих в Африке южнее Сахары. Их следует отличать от северных африканцев — аборигенного населения районов Африки севернее Сахары, от пигмеев и от представителей другой расы африканцев, живущих южнее Сахары — бушменов или «койкоин»[6], обитающих преимущественно в пустыне Калахари, а также от готтентотов Южной Африки; в настоящее время сохранились лишь нескольких десятков тысяч представителей этих народов. Использовалось множество терминов для обозначения африканских народов, в том числе «аферы» (Linnaeus, 1758), «эфиопы» (Blumenbach, 1776) и «негроиды» (Cole, 1965). Независимо от того, какое название использовалось, африканцы всегда расценивались как одна из больших рас в таксономиях классической антропологии, включая классификации Линнея (Linnaeus, 1758), Блюменбаха (Blumenbach, 1776), а также Куна, Гарна и Бёрдселла (Coon, Garn, Birdsell, 1950). Кавалли-Сфорца, Меноцци и Пиацци (Cavalli-Sforza, Menozzi, Piazza, 1994) подтвердили отличительные генетические особенности африканцев в своей классификации человечества на генетические «кластеры», в которой эти народы были представлены западными африканцами к Западу от Нигерии, нилотами верхнего Нила в Южном Судане, эфиопами и банту — большой группой, представленной в большей части Африки южнее Сахары от Нигерии на Западе до Кении. Главными отличительными особенностями африканцев являются: очень тёмная кожа, тёмные глаза, широкий нос, толстые вывернутые губы и густые курчавые волосы. Распределение групп крови у африканцев и европейцев различно. У африканцев реже встречается группа А (примерно 27 процентов против приблизительно 46 процентов у европейцев) и чаще группа В (около 34 процентов против примерно 14 процентов у европейцев).
Интеллект африканцев в Африке южнее Сахары
Первая попытка оценить интеллект африканцев была сделана Гальтоном (Galton, 1869) на основе его собственных наблюдений во время путешествий по Юго-Западной Африке и записок других путешественников. Он построил шкалу уровней интеллекта, на которой одно деление было эквивалентно 10,425 баллам шкалы IQ. По его оценке африканцы стоят приблизительно на два деления ниже англичан, что равно 79 баллам по шкале IQ. Дальнейшими исследованиями интеллекта на выборках из всей популяции африканцев в районах Африки южнее Сахары было показано, что Гальтон переоценил IQ африканцев на одно с небольшим деление.
Результаты работ по определению коэффициента интеллекта африканцев в Африке южнее Сахары сведены в Таблицу 4.1. При необходимости приводятся пояснения результатов, изложенных в таблице.
В строке 1 приведён IQ в 64 балла для взрослых рабочих из Камеруна. В строке 2 дан IQ в 64 балла для молодых людей из Центральноафриканской республики, поступавших на технические курсы в колледже города Бангуи в 1951–1955 гг. В строках 3–5 даны IQ в 64 балла по результатам тестирований выборок из Конго-Браззавиля, проводившихся одновременно в городах Браззавиль и Пуэнт-Нуар. В строках 6, 7, 8,9 и 10 даны величины в 64,68,62,68 и 65 баллов IQ для Конго-Заира. В строке 11 приведён IQ 80 для взрослых в Гане. Такой IQ исключительно высок для Африки южнее Сахары. Возможно, столь высокое значение объясняется тем, что данные были получены в столице — в Аккре.
Таблицы 4.1. Показатели интеллекта африканцев в Африке южнее Сахары

Расовые различия в интеллекте

Для столичных жителей типичны более высокие показатели IQ, чем в остальной части страны, вероятно вследствие того, что мигрировать в столицу склонны более интеллектуальные люди. Так, показатели интеллекта в Лондоне и Париже выше, чем в остальных частях Великобритании или Франции (Lynn, 1979, 1980). В строке 12 представлен IQ в 62 балла по репрезентативной выборке из всей Ганы. В строках 13 и 14 даны значения IQ 63 и 70 по результатам двух исследований в Гвинее. В строках 15–20 даны IQ в 69, 75, 69, 76, 89 и 63 балла для Кении. Величина IQ в 89 баллов в строке 19 была получена в группе 7-летних испытуемых в 1998 г. Это намного выше, чем IQ в 76 баллов, определённый теми же исследователями в их работе 1984 г. (строка 18) и чем любой другой IQ для популяций африканцев к югу от Сахары. Несоответствие указанного результата данным других исследований ставит под сомнение его достоверность. Так, в строке 16 приведён IQ 75, полученный в том же году в ходе стандартизации того же теста для всей Кении, а в строке 18 — IQ 76, тоже полученный в этом же году. Последние два показателя IQ типичны для Африки южнее Сахары и правдоподобны, но ставят под сомнение оценку в 89 баллов. Кроме того, увеличение IQ на 15 баллов от 76 до 89 баллов за 14-летний период уникально высоко для долговременного повышения IQ и не может считаться достоверным. Далее, с трудом верится, что у детей в Кении может быть более высокий IQ, чем у афроамериканцев в Соединенных Штатах, где IQ оставался постоянным на уровне приблизительно в 85 баллов с 1920-х гг., но где жизненный уровень и питание африканцев намного лучше, чем в Кении. По этим причинам мы считаем оценку IQ для Кении в 89 баллов недостоверной. Величина IQ в 63 балла, приведённая в строке 20, является средним значением между 65 баллами для 6-летних школьников и в 61 баллом для не посещавших школу, что даёт основание предположить, что обучение в школе повышает IQ на 4 балла.
В строке 21 приведён IQ в 82 балла для Мадагаскара. Хотя население острова обычно считается частью популяции районов Африки южнее Сахары, оно включает значительное количество аборигенов Юго-Восточной Азии — выходцев из Индонезии, откуда они мигрировали на Мадагаскар примерно в первом веке нашей эры (Cole, 1965). Население также включает африканцев и гибриды двух рас. Пропорции этих трёх групп в населении точно неизвестны, но предполагается, что преобладают потомки африканцев. Средний IQ для Мадагаскара (82 балла) выше любого из показателей IQ африканцев из районов Африки южнее Сахары, представленных в Таблице 4.1, за исключением сомнительных 89 баллов для Кении в строке 19. Коэффициент интеллекта населения в рассматриваемой популяции является промежуточным между африканцами (65–70 баллов) и аборигенами Юго-Восточной Азии (приблизительно 87, см. Главу 7), хотя он несколько ближе к IQ африканцев, как можно ожидать для смешанной популяции выходцев из Юго-Восточной Азии и африканцев, в которой преобладают африканские гены. Исходя из теории средовой обусловленности IQ, невозможно дять очевидного объяснения того, почему IQ населения Мадагаскара выше, чем всюду в материковой Африке южнее Сахары.
В строке 22 дан IQ в 64 балла для Мозамбика. Выборка состояла из испытуемых, проучившихся 3 с половиной года в школе и включала несколько человек из бантустана Транскей и республики Малави. В строке 23 приведён IQ в 70 баллов для Нигерии, полученный у детей (возраст не указан), посещавших школы в городе Зария. Элитная выборка мальчиков из гимназии в этом же городе (п=179) показала IQ 81 балл. Применялся тест Леона, описанный автором как «разработанный африканцем для африканских детей» (Farron, 1966, стр. 53). Результат противоречит часто высказываемому утверждению, что африканцы испытывают затруднения при выполнении тестов, разработанных европейцами. В строках 24 и 25 даны значения IQ в 64 и 69 баллов по двум последующим исследованиям в Нигерии.
В строках 26 и 27 даны IQ в 64 балла для двух выборок взрослых в Сьерра-Леоне. В строке 28 приведён IQ в 65 баллов, полученный в первом исследовании интеллекта африканцев в Южной Африке, проведённом в 1920-х гг. В строках 29–40 даны оценки IQ в диапазоне от 58 до 77 баллов, полученные в двенадцати более поздних исследованиях. В строке 34 дан IQ 71 для тюремных надзирателей, имевших 9-12 летнее образование. В строке 35 приведён IQ в 77 баллов, который является самым высоким для ощепопуляционных выборок в Африке южнее Сахары, но он был получен с помощью теста «нарисуй человека», который является довольно плохим тестом общего интеллекта. В строке 38 представлен IQ 58 для большой выборки 16-летних школьников-африканцев, имевших примерно десятилетнее образование. Результаты сравнивались с южноафриканскими европеоидами. В строке 39 приведён IQ 69 для группы взрослых испытуемых, описанных как «компетентные мужчины, работающие длительное время в сложной окружающей обстановке…» (Nell, 2000, стр. 27). В строке 40 дан IQ 68 для подростков с несколькими годами школьного обучения из Северного Трансвааля. В строках 41 и 42 даны IQ 67 и 64 для двух выборок подростков из школ г. Соуэто. В строке 43 приведён IQ в 67 баллов для школьников третьего класса — зулусов из Наталя.
В строке 44 представлен IQ 69 для Судана, измерявшийся у детей и подростков народности Шиллук, описанной автором как «одно из примитивных негритянских нилотских племен» (стр. 164) Южного Судана. Приведённый IQ является средним значением измерений по четырём тестам: Лабиринты Годдарда и Портеуса, Александр пассалонг, и «нарисуй человека». В строках 45,46 и 47 даны IQ в 64,74 и 73 балла для трёх последующих исследований в Судане.
В строке 48 дан IQ в 78 баллов для группы учащихся средней школы в Танзании, это исключительно высокое значение для африканцев. Автор исследования объясняет, что причина этого в том, что выборка была высоко селективна, так как «число мест в средней школе чрезвычайно ограничено и поступление происходит на конкурсной основе» (Klingelhofer, 1967, стр. 207). Высокий IQ этой выборки не может считаться репрезентативным. Однако результат информативен, поскольку показывает, что IQ в элитной выборке из средней школы равен 78 баллам, а это свидетельствует о том, что типичные для Африки южнее Сахары значения IQ в диапазоне 65–72 баллов соответствуют действительности. В строках 49 и 50 приведены значения IQ в 65 и 72 балла для ещё двух репрезентативных выборок из Танзании, что согласуется с обычными значениями для Африки южнее Сахары. В строке 51 приведён IQ 80 для селективной выборки школьников в Уганде, описанных Верноном (1969, стр. 182) как «значительно превосходящих средний уровень восточно-африканского населения». Это объясняет, почему IQ в этой группе выше, чем в репрезентативных выборках из районов Африки южнее Сахары. В строке 52 дан IQ в 73 балла для большой репрезентативной выборки угандийских детей. В строках 53 и 54 приведены IQ 77 и 64 для Замбии. В строках 55 и 56 даны величины IQ в 61 и 70 баллов для Зимбабве, полученные Зинди, африканским психологом из Университета Зимбабве.
Самая поразительная особенность значений IQ африканцев из Африки южнее Сахары состоит в том, что они устойчиво значительно ниже, чем у европейцев (см. Таблицу 3.1 Главы 3). Медиана величин IQ составляет 67 баллов, что является наиболее достоверной оценкой IQ африканцев. За исключением значения IQ в 82 балла для Мадагаскара, которое является самым высоким в таблице из-за присутствия в населении выходцев из Юго-Восточной Азии, а также IQ в 78 (строка 48) и 80 баллов (строка 51) для селективных выборок из элитных средних школ в Танзании и Уганде, и сомнительных 89 баллов для Кении (строка 19), все значения IQ лежат в диапазоне 59–77 баллов, в то время как все оценки IQ европейцев попадают в диапазон 87-105 баллов. Диапазоны значений IQ в этих двух популяциях не перекрываются. Географическая изменчивость IQ африканцев не просматривается, вариации IQ могут быть следствием ошибок выборок и измерения. Величина IQ африканцев не претерпела никакого изменения со времени опубликования Пиком данных первого исследования (Pick, 1929), в котором IQ африканцев в Южной Африке был оценен в 65 баллов. В четырёх более поздних исследованиях африканцев в Южной Африке, выполненных в 1990-е гг., были определены фактически такие же IQ: 69 (Nell, 2000), 68 (Sonke, 2000), 67 и 64 балла (Skuy и др., 2001).
Студенты университетов в Африке
Опубликованы данные тринадцати исследований интеллекта африканцев — студентов университетов в Южной Африке. В некоторых работах также приведены оценки IQ европейских студентов, тестировавшихся в такое время. Результаты исследований приведены в Таблице 4.2.
Tаблица 4.2. Показатели интеллекта африканских и европейских университетских студентов в Африке

В строке 1 представлен IQ в 75 баллов для африканцев — студентов университета Легон в Гане, полученный с помощью методики «кубики Кооса» из теста Векслера. Во всех остальных строках приведены результаы для Южной Африки. В строке 2 даны IQ в 84 балла для африканских и 103 балла для европейских университетских студентов, вычисленные относительно американских норм для взрослых, опубликованных в работе Равена, Курта и Равен (Raven, Court, Raven, 1994). В строках 3 и 4 приведены результаты студентов по тесту Блокса (Blox), показатели IQ африканцев представлены в сравнении с показателями для европеоидных южноафриканских студентов, принятыми за 100 баллов. Строка 5 даёт результаты тестирования с помощью теста WAIS-R студентов (средний возраст 25 лет) в африканских университетах Форт Харе, Зулуленд, Северный и Медицинского университета Южной Африки. Вербальный IQ составил 78, IQ достижений — 73 балла, что ещё раз показывает, что африканцы имеют низкий IQ по всем основным познавательным способностям и противоречит иногда высказываемому утверждению о том, что африканцы испытывают затруднения в выполнении языковых задач. В строке 6 приведён IQ в 100 баллов для студентов научных специальностей из Северного университета. В строке 7 дан IQ 77 для студентов менее престижного африканского университета. В строке 8 представлен IQ в 83 балла для студентов университета Витватерсранда и университета Африкаанс Ранда в Йоханнесбурге. В строке 9 представлен IQ 82 для африканских студентов из университета Венда в Северном Трансваале. Европейская группа, результаты тестирования которой используются для сравнения, была из университета Тилберга в Нидерландах. В строке 10 дан IQ 81 для студентов-психологов из университета Витватерсранда. В строке 11 представлен IQ 93 для студентов-первокурсников инженерных специальностей из университета Витватерсранда. В строке 12 дан IQ 99 для немного уменьшенной группы тех же студентов, оцененный 16 месяцев спустя с помощью прогрессивных матриц повышенной сложности. И африканцы, и европейцы показали результаты приблизительно на 6 баллов выше при втором тестировании, вероятно вследствие тренировки. В строке 13 приведён IQ в 101 балл для другой выборки студентов-африканцев инженерных специальностей из университета Витватерсранда; видно, что африканские студенты имели IQ на 15 баллов ниже, чем белые европейцы.
Средние величины IQ общих выборок студентов, представленные в строках 1–5 и 7–9, попадают в узкий диапазон значений 72–84 балла с медианой 81. Приведённые в строках 6, 11, 12 и 13 величины IQ в 100, 93, 99 и 101 балл выше остальных из-за того, что они были получены у студентов научных и инженерных специальностей, поступавших в университеты на основе вступительных экзаменов по математике и физике и, как правило, имевших более высокую способность к рассуждению, чем студенты большинства других специальностей. К примеру, в Иране IQ 18-летних учащихся, изучавших математику, был на 10 баллов выше, чем у изучавших литературу (Mehryar, Shapurian, Bassiri, 1972). Британские студенты, получавшие степень в области науки, имели IQ на 9 баллов выше, чем получавшие степень в области искусств (Heim, 1968). Величины IQ студентов-европеоидов в Южной Африке находятся в диапазоне от 100 до 105, что почти совпадает со значениями студентов-европеоидов в других странах (см. Глава 3, Таблица 3.3). Интерес этих данных состоит в том, что они показывают, что типичные африканские студенты, имевшие примерно 12-летнее школьное образование и поступившие в университет, имеют IQ в диапазоне 72–84 балла. Так как они — африканская интеллектуальная элита, эти данные позволяют сказать, что IQ для генеральной популяции около 70 баллов достоверен и в общем правилен. Результаты также свидетельствуют о том, что IQ африканских студентов в Южной Африке в среднем на 20 баллов ниже, чем у европеоидных и что значительный разрыв значений между величинами IQ африканцев и европейцев сохраняется и тогда, когда они имеют одинаковую продолжительность обучения. Африканские студенты университетов, имевшие за плечами десять-двенадцать лет систематического образования, помимо изучавших математику и физику, получали оценки IQ в диапазоне 72–84 баллов. Коэффициент интеллекта студентов был на 10–12 баллов выше средне-африканского вследствие того, что они являются селективной группой.
Африканцы островов Карибского бассейна и Латинской Америки
Результаты определений IQ у африканцев с островов Карибского бассейна и из Латинской Америки приведены в Таблице 4.3.
В строке 1 дан IQ 80 для детей на Барбадосе. Это значение, как сообщается в исследовании, было вычислено из значения IQ в 83 балла для хорошо питавшихся и в 68 баллов для голодавших детей с учётом показателя преобладания умеренного и серьёзного недоедания дошкольников на Барбадосе (16,5 процентов — по данным обследования 1968 г. (см. Galler, Ramsay, Solimano и др., 1983)). В строке 2 дан IQ 70 для африканцев в Бразилии, посещавших школу в фавеле (трущобный район) в г. Бразилиа. В строке 3 дан IQ 64 для матерей этих детей. В строке 4 дан IQ 71 для африканцев в г. Сан-Паулу в Бразилии. В строке 5 представлен IQ 67 для 3-летних африканских детей из Доминиканской республики. Низкий IQ этих младенцев даёт основание предполагать, что плохое образование не является фактором, ответственным за низкие величины IQ африканцев островов Карибского бассейна. В строках 6-12 приведены результаты семи исследований IQ на Ямайке, давших оценку в диапазоне 60–75 баллов с медианой 67. В строке 13 дан IQ 60 для 4-летних детей с о. Сент-Люсия, а в строке 14 — IQ 70 для детей с о. Сент-Винсент. Медиана оценок четырнадцати исследований интеллекта африканцев с островов Карибского бассейна и из Латинской Америки составила 71 балл IQ. Это немного выше, чем средний IQ африканцев в Африке южнее Сахары, составляющий 67 баллов. Возможное объяснение этого в том, что у африканцев островов Карибского бассейна и Латинской Америки есть некоторая примесь европейских генов. Как было оценено, доля европейских генов в африканском населении Ямайки составляет 6,8 процентов (Parra, Marcini, Akey, 1998).
Таблица 4.3. Показатели интеллекта африканцев с островов Карибского бассейна и из Латинской Америки

Все сокращения, в том числе в других таблицах — см. Таблицу 4.1.
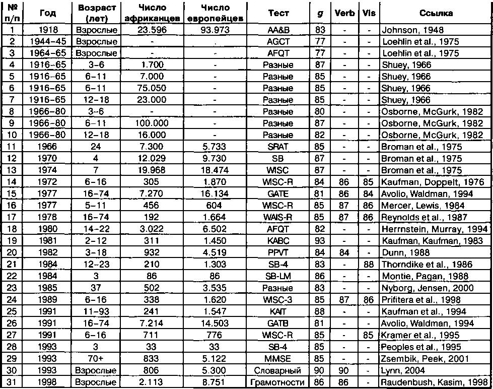
Афроамериканцы в Соединенных Штатах Америки
В Соединенных Штатах проводились сотни исследований интеллекта афроамериканцев. Результаты наиболее важных из них приведены в Таблице 4.4.
В строке 1 даны результаты первого из больших исследований — среди призывников в период Первой Мировой войны, проводившегося с помощью объединённых армейских Альфа и Бета тестов, которые измеряли невербальный и вербальный IQ и впоследствии легли в основу тестов Векслера. Число европеоидов составляло 93.973 чел.

В строке 2 приведены данные для призывников Второй Мировой войны, а в строке 3 — результаты тестирования призывников Вьетнамской войны. Примечательно, что средний IQ африканцев в периоды Второй Мировой и Вьетнамской войн был ниже (77 баллов), чем в период Первой Мировой войны, и ниже обычно приводимого среднего значения IQ афроамериканцев в Соединенных Штатах (85 баллов). В строках 4–7 приведены результаты компиляции всех американских исследований, выполненной Шу. В строке 4 дан IQ 87, полученный по данным 17 исследований среди дошкольников. В строке 5 представлен IQ 85, определённый по результатам 26 исследований среди учащихся начальной школы с использованием индивидуальных тестов, таких как тест Стенфорд-Бине. В строке 6 приведён IQ 85 для учащихся начальной школы, полученный по 103 исследованиям с применением тестов вербальной способности и 41 исследованию с помощью тестов невербальной способности. В строке 7 дан IQ 85 для студентов высшей школы. В строках 8,9 и 10 представлены результаты Осборна и Мак-Гурка (Osbome, McGurk, 1982), дополнивших суммарные данные американских исследований результатами работ, опубликованных в период 1976–1980 гг. В строке 8 дан IQ 80, полученный из результатов 66 исследований среди дошкольников 3–5 лет. В строке 9 приведён IQ 87, полученный по данным 126 исследований среди учащихся начальной школы, а в строке 10 — IQ 82, полученный по данным 17 исследований среди учащихся средней школы.
В строках 11,12 и 13 (Broman и др., 1975) даны результаты тестирования трёх больших выборок испытуемых, не представленных в обзоре Осборна и Мак-Гурка. В строке 11 приведён IQ в 85 баллов для африканских матерей, тестировавшихся в ходе выполнения Национального Коллаборативного Перинатального проекта, а в строках 12 и 13 — IQ их детей в возрасте 4 и 7 лет, составивший 87 баллов. В строке 14 представлен IQ общего интеллекта африканцев в 86 баллов по данным выборки теста стандартизации теста WISC-R. В строке 15 дан IQ в 81 балл для общего интеллекта, в 86 баллов для вербального интеллекта и в 84 балла для способности к визуализации среди работающих по найму (данные собраны Службой занятости Соединенных Штатов). В строке 16 дан IQ 85 для общего интеллекта афроамериканцев, 87 для вербального и 86 для способности к визуализации по выборке из Калифорнии. В строке 17 приведён IQ 85 для общего интеллекта, 87 для вербальной способности и 86 для способности к визуализации (по данным выборки стандартизации теста WAIS-R). В строке 18 представлен IQ 82, полученный с помощью теста AFQT. В строке 19 дан IQ 93 по данным выборки стандартизации теста К-АВС. В строке 20 даётся словарный IQ в 85 баллов по данным выборки стандартизации словарного теста Пибоди в картинках. В строке 21 представлен IQ в 83 балла, полученный по данным выборки стандартизации теста Стенфорд-Бине-4. Афроамериканцы из этой выборки получили IQ для кратковременной памяти в 89 баллов, что согласуется с результатами многих других исследователей, согласно которым афроамериканцы сравнительно успешно выполняют тесты на кратковременную память. В строке 22 дан IQ 86 для 3-летних детей по данным выборки стандартизации теста Стенфорд-Бине-LM. В строке 23 приведён IQ 83, вычисленный из значений первого главного фактора как меры общего интеллекта, полученных у военнослужащих. В строке 24 представлен IQ 85 по данным выборки стандартизации теста WISC-3. В строке 25 дан IQ 88 по данным выборки стандартизации теста интеллекта Кауфмана для подростков и взрослых. В строке 26 дан IQ 81 для выборки работающих по найму (данные собраны Службой занятости Соединенных Штатов). В строке 27 приведён IQ 85 для способности к визуализации из оценок субтеста упорядочивания блоков теста WISC-R (по данным национальной выборки NHANES III).
Приведённый в строке 28IQ в 85 баллов получен у детей в возрасте от 3,0 до 3,4 лет по данным выборки стандартизации теста Стенфорд-Бине-4. В строке 29 дан IQ 85 для репрезентативной выборки испытуемых возраста 70 лет и старше из континентальных Соединенных Штатов (т. е., исключая Аляску и Гавайи). В строке 30 дан словарный IQ взрослых афроамериканцев в 90 баллов, полученный в исследованиях NORC за 1990-96 гг. на репрезентативной выборке из континентальных Соединенных Штатах. Это необычно высокое значение можно приписать краткости теста, состоящего в определении значений десяти слов. В строке 31 приведён IQ в 86 баллов по данным Национального исследования грамотности взрослых 1992 года, тест состоял в оценке понимания вербального материала и выполнении арифметических заданий испытуемыми репрезентативной выборки из континентальных Соединенных Штатов.
Из результатов исследований интеллекта афроамериканцев можно сделать пять выводов. Во-первых, медиана IQ составляет 85 баллов, это значение многими считается наилучшей оценкой IQ афроамериканцев. Эта оценка близка к значению в 83,5 балла, полученному в итоге мета-анализа данных 105 исследований, проведённых в общей сложности среди 6.246.729 испытуемых (Roth, Bevier, Bobko, Switzer, Tyler, 2001). Вариации средних значений, полученных в разных исследованиях, вызваны, вероятно, различиями выборок, ошибками измерения и различиями способностей испытуемых, измеряемых разными тестами. Во многих исследованиях было показано, что африканцы относительно хорошо справляются с тестами памяти, таким образом, величина африканско-европейского различия отражает в некоторой мере степень, в которой тесты памяти представлены в показателях интеллекта. Например, одно из наиболее высоких значений IQ в таблице (88 баллов) было получено по тесту KAIT Кауфмана. Этот тест содержит семь субтестов, из которых один оценивает память на лица, в нём требуется опознать лица известных людей. По этому субтесту африканцы получили средний IQ в 92,5 балла.
Во-вторых, как можно видеть в строках 22 и 28, коэффициент интеллекта около 85 баллов наблюдается у 3-летних афроамериканцев. Эти результаты противоречат утверждению, часто высказываемому сторонниками средовой теории, что плохое образование и расизм полностью или в определённой степени ответственны за низкий IQ африканцев. Даже у 2-летних африканцев IQ составляет 93 балла (строка 19). Этот показатель не так низок, как в других исследованиях, потому что африканские младенцы созревают быстрее европейских до возраста двух лет (Lynn, 1998d; Rushton, 2000). Только на третьем году их IQ падает ниже европейского, и лишь на четвертом достигает величины порядка 85 баллов, как показано в строках 22 и 28.
В-третьих, характерный для афроамериканцев IQ около 85 баллов существенно выше среднего значения IQ африканцев в Африке южнее Сахары, составляющего примерно 67 баллов. Это различие можно объяснить двумя факторами. Прежде всего, афроамериканцы по многим параметрам живут в гораздо лучших условиях, чем африканцы в Африке, включая намного более высокий жизненный уровень, лучшее питание и здравоохранение. Кроме того, афроамериканцы имеют в среднем около 25 процентов европейских генов и это делает их IQ выше, чем у африканцев в Африке (Reed, 1969; Chakraborty, Kamboh, Nwanko and Ferrell, 1992).
В-четвертых, в пяти работах, где приводятся оценки вербального и визуального IQ, визуальный IQ афроамериканцев на один или два балла выше вербального. Результаты оценки вербального IQ более подвержены влиянию культурного окружения, таким образом, это противоречит утверждению, часто высказываемому сторонниками средовой теории, что африканцы плохо выполняют тесты потому, что тесты ориентированы не на них. Это подтверждает выводы Мак-Гурка (McGurk, 1953а, 1953b) о том, что афроамериканцы более не испытывают отрицательного влияния того, что считается «культурно-смещёнными общими информационными проблемами», и Дженсена (Jensen, 1980) о том, что тесты не являются культурно-смещёнными относительно афроамериканцев.
В-пятых, представляется, что в течение двадцатого столетия не происходило увеличения IQ афроамериканцев. Так, по данным четырнадцати исследований, выполнявшихся с 1980 г. по 1998 г., средний IQ составил 85 баллов, такое же значение определялось и в более ранних исследованиях. В пользу такого вывода говорит отсутствие какой-либо тенденции к уменьшению разрыва между афроамериканцами и европейцами в младших возрастных группах. Данные о различиях величин IQ у африканцев и европейцев разных возрастных групп были приведены в работе Рейнольдса и соавт. (Reynolds, Chastain, Kaufman, McLean, 1987) на материале выборки стандартизации теста WAIS-R 1978 г. Величины IQ африканцев составили 86 баллов у 16–19 летних, 85 баллов у 20–34 и у 35–54 летних, и 86 баллов у 55–74 летних испытуемых. Проводившиеся два раза в год тестирования показали также, что различие в интеллекте между афроамериканцами и европейцами не изменялось за период 1974–1996 гг. (Lynn, 1998е). Наконец, в выборке стандартизации теста KAIT (Тест интеллекта Кауфмана для подростков и взрослых; Kaufman и др., 1994) не было значимого различия между самой младшей и самой старшей возрастными группами. В самой младшей возрастной группе (родившиеся с 1980 по 1991 гг.) IQ был даже немного ниже (83 балла), чем в самой старшей (в среднем 1921 года рождения) — 88 баллов.
Африканцы в Великобритании
Африканцы начали мигрировать в Великобританию в значительном количестве вскоре после окончания Второй Мировой войны. Первые иммигранты приезжали в основном с островов Карибского бассейна, а в последней четверти двадцатого столетия значительное их число прибыло из Африки. Исследования IQ у африканцев в Великобритании публикуются с 1960-х гг. Результаты этих исследований приведены в Таблице 4.5.
В строке 1 приведён IQ в 88 баллов. По-видимому, это первая опубликованная работа по оценке IQ у детей негроидных иммигрантов из Вест-Индии. Исследование проводилось в Лондоне, где обосновалось большинство этих иммигрантов. В строке 2 дан IQ в 82 балла, вычисленный Верноном (Vernon, 1969, стр. 169) по другой выборке, тестировавшейся в Лондоне в 1960-х гг. В строке 3 приведён показатель способности к рассуждению в 88 баллов и словарный IQ в 82 балла для детей выходцев из Вест-Индии в сравнении с детьми англичан — европеоидов, посещавших одну и ту же среднюю школу в Лондонском районе Харингей. Это бедный район, где у европеоидных детей следует ожидать оценок IQ ниже среднего национального уровня, что будет повышать показатели выходцев из Вест-Индии. Чтобы скорректировать это смещение, IQ европейцев в этом исследовании был принят за 95. В строке 4 дан IQ 89 для группы детей из Лондона. В строке 5 представлен IQ 86 для выборок детей из Бирмингема и в Лондонского района Дептфорд.
В строке 6 приведён IQ в 104 балла для 9 африканских детей, принятых в учреждения опеки в младенческом возрасте из-за того, что их матери были неспособны заботиться о них. В этом же исследовании определялся IQ расово-смешанных и белых детей, также принятых в учреждения опеки; у расово-смешанных детей IQ составил 110 (п=15), а у белых 104 балла (п=36).
Таблица 4.5. Показатели интеллекта африканцев в Великобритании

Эти результаты не соответствуют всем остальным приведённым в таблице результатам, свидетельствующим о том, что у африканских детей в Великобритании показатели интеллекта значительно ниже, у белых. Кроме того, можно было бы ожидать, что IQ тестированных детей будет ниже среднего уровня, так как их матери, поместившие] учреждения опеки, по преимуществу не владели необходимыми навык и, вероятно, обладали интеллектом ниже среднего. Данные об интеллекта этих детей примечательны и нуждаются в дополнительной проверке. Ее бы проверка их подтвердила, из них бы вытекало, что чернокожие не обеспечивают такие же хорошие условия детям, как белые приёмные родители, воспитывавшие этих детей, но для такого вывода оснований немного. Число детей было очень небольшим (п=9), и возможно это просто случайный результат.
В строке 7 дан IQ в 86 баллов для общенациональной выборки афрокарибских детей в Великобритании. В строках 8 и 9 приведены значения IQ в 73 балла для детей из Великобритании, родившихся на Карибах, и в 82 балла для родившихся в Великобритании. Значение IQ в 73 балла у уроженцев островов Карибского бассейна близко к 71 — значению для аборигенных карибских детей. В строке 10 представлен вербальный IQ 86 для детей из Вест-Индии, тестировавшихся с помощью английского словарного теста в картинках. В строке 11 дан IQ 85 для детей выходцев из Вест-Индии в общеобразовательной средней школе города Ильфорд графства Эссекс; этот IQ ниже, чем у детей индусов, обучавшихся в той же школе, IQ которых составил 91 балл. Это первое в ряду исследований в Великобритании, продемонстрировавших, что у выходцев с островов Карибского бассейна показатели интеллекта ниже, чем у иммигрантов из Индии. В строке 12 дан словарный IQ в 78 баллов для всех детей выходцев из Вест-Индии, обучавшихся в общественных школах в Мидлендсе[7], находящихся в ведении органов народного образования.
В строке 13 приведён IQ в 86 баллов, полученный с помощью теста чтения на очень большой национальной выборке (п= 12.530) 15-летних подростков. В строке 14 дан IQ в 85 баллов, полученный с помощью словарного теста у детей выходцев из Вест-Индии на Севере Англии в сравнении с 851 европейцами, посещавшими те же школы. В строке 15 представлен IQ в 86 баллов у детей выходцев из Вест-Индии из городской школы в Мидлендсе; дети выходцев из Индии, посещавшие те же школы, получили оценку IQ в 96 баллов. Это еще раз показывает, что выходцы из Южной Азии, находящиеся в одинаковых с африканцами условиях, получают более высокие оценки IQ. В строке 16 приведён IQ в 90 баллов для выборки детей выходцев из Вест-Индии в Лондоне. В строке 17 представлен IQ 87 для группы 4-летних детей выходцев из Вест-Индии.
В строке 18 приведён IQ в 89 баллов для национальной выборки карибских детей со всей Великобритании, родившихся в 1958 г. и проживших в Великобритании больше 4 лет; испытуемые другой группы (п=39), прожившие в Великобритании менее 4 лет, получили оценку IQ в 83 балла. Это даёт основание предполагать, что IQ карибских детей повышается вследствие проживания в Великобритании приблизительно на 6 баллов. Иногда высказывалось предположение, что вследствие того, что многие дети недавних иммигрантов с островов Карибского бассейна говорят на креольском Вест-Индийском диалекте английского языка, им трудно понимать учителей. Но то, что иммигранты из Вест-Индии выполняют тесты на невербальное рассуждение примерно на том же уровне, что и тесты на вербальное понимание, делает это предположение маловероятным. В строке 19 дан IQ в 92 балла для национальной британской выборки испытуемых, родившихся в 1970 г. Высокий IQ этой выборки мог бы быть индикатором того, что IQ детей выходцев с островов Карибского бассейна немного увеличился, но данные последующих работ, представленные в таблице, не показывают улучшения IQ африканских детей в период с 1960х по 1980-е гг., так что это может быть случайным результатом.
В строке 20 приведён IQ 88 для группы африканских школьников в лондонских школах, большинство из которых родилось в Великобритании. В строке 21 дан IQ в 92 балла для группы африканских школьников в Кембриджшире. Величина IQ дана относительно детей англичан, посещавших те же самые школы, у которых она, вероятно, была ниже национальных норм, так как британцы более высокого социально-экономического статуса предпочитают не посылать детей в школы, где учится заметное число иммигрантов. Это должно было повысить оценки интеллекта африканцев. Для применённого теста не существует национальных норм, поэтому IQ африканцев не мог быть точно расчитан относительно британцев. Вероятно, IQ британцев в этом исследовании составлял приблизительно 95 баллов, и, следовательно, IQ африканской группы составит около 87 баллов относительно британских национальных норм, то есть будет примерно таким же, что и в других выборках африканцев в Великобритании. В строке 22 приведён IQ в 89 баллов для группы 65-75-летних африканцев из Лондона, тестировавшихся в 1996-98 гг. в сравнении с национальной выборкой автохтонных британцев (п=5.379).
Результаты исследований интеллекта африканцев в Великобритании интересны в трёх отношениях. Во-первых, медианное значение IQ составляет 86 баллов, что почти точно совпадает со средним значением африканцев в Соединенных Штатах, равным 85 баллам. Эти оценки существенно выше медианных значений IQ в 67 баллов у африканцев в районах Африки южнее Сахары и в 71 балл у выходцев с островов Карибского бассейна, откуда большинство проживающих в Великобритании африканцев прибыло в период после окончания Второй Мировой войны. Во-вторых, более высокий IQ африканцев в Великобритании может быть объяснён влиянием лучших жизненных условий. Это влияние показано в исследовании, результаты которого представлены в строках 7 и 8 (Yule, Berger, Rutter, Yule, 1975). Видно, что IQ африканцев, родившихся в Вест-Индии, составляет 73 балла против 82 баллов у родившихся в Великобритании, что позволяет предположить, что IQ детей выходцев с островов Карибского бассейна увеличивается вследствие проживания в Великобритании на 9 баллов. Этот результат был подтвержден в работе Макинтоша и Масси-Тейлора (Macintosh, Mascie-Taylor, 1985), результаты которой представлены в строке 18. В их исследовании IQ детей выходцев с островов Карибского бассейна, проживших в Великобритании более 4 лет, составил 89 баллов, в то время как в группе проживших Великобритании менее 4 лет (n=39) IQ был равен 83 баллам, из чего можно предположить, что интеллект карибских детей возрастает вследствие проживания в Великобритании примерно на 6 баллов. Эти два результата весьма сходны и говорят о том, что проживание в Великобритании увеличивает интеллект африканцев на 7–8 баллов. Это увеличение, видимо, является главным образом результатом лучшего питания и здравоохранения и, возможно, образования. Хотя нет никаких свидетельств тому, что образование в Вест-Индии хуже, чем в Великобритании; иногда утверждается что оно лучше. Влияние улучшеного питания на иммигрантов из Вест-Индии показано Юлом с соавторами (Yule и др., определившими, что африканцы из Вест-Индии, родившиеся в Великобритании, выше ростом родившихся на островах Карибского бассейна и приехавших в Великобританию детьми; различие составило 0.67d (единицы стандартного отклонения). В-третьих, величина IQ для выборки 4-летних детей выходцев из Вест-Индии, приведённая в строке 17, была почти такой же (87 баллов), что и у более старших детей выходцев из Вест-Индии, обучавшихся в школе. Это говорит о том, что за низкие показатели интеллекта детей выходцев из Вест-Индии не могут нести ответственности школы, предубеждение учителей, трудности понимая детьми разговорного английского языка учителей и так далее. Этот результат подтверждают полученные в Соединенных Штатах данные о том, что IQ африканцев низок в дошкольном возрасте.
Африканцы в Нидерландах
В течение второй половины двадцатого столетия значительное число африканцев мигрировало в Нидерланды из бывшей голландской колонии Суринам на Северо-Востоке Южной Америки и с Нидерландских Антильских островов, бывшей голландской колонии в Карибском море. Результаты исследований их интеллекта представлены в Таблице 4.6.
Таблица 4.6. Показатели интеллекта африканцев в Нидерландах

В строке 1 представлен IQ в 86 баллов для детей иммигрантов из Суринама. Данные об использованном тесте и возрасте испытуемых не приведены. Население Суринама состоит на 35 процентов из креолов с африканско-европейской родословной, на 10 процентов из африканцев, на 33 процента из выходцев из Индии, на 16 процентов из индонезийцев и на 3 процента из американских индейцев. Величина IQ в 86 баллов — это примерно то, что можно было бы предсказать для этого расово-смешанного населения, так как у наибольшей группы, креолов, IQ будет примерно средним между IQ африканцев в Африке (67) и европейцев в Северо-Западной Европе (100), а у второй по численности группы, индусов, IQ должен был бы составить примерно 82 (см. Главу 6). В строке 2 дан IQ в 84 балла для выборки детей иммигрантов первого поколения из Суринама и с Нидерландских Антильских островов. В строке 3 приведён IQ 88 для выборки детей иммигрантов второго поколения из Суринама и с Нидерландских Антильских островов. У этих детей наблюдается увеличение IQ на четыре балла в сравнении со значением для детей иммигрантов первого поколения, представленным в строке 2. Это подтверждает исследования в Великобритании, показавшие, что иммигранты второго поколения получают более высокие оценки IQ, чем иммигранты первого поколения. Строка 4 дает IQ 85 для ещё одной выборки детей иммигрантов из Суринама. Данные об использованном тесте и возрасте испытуемых не приведены. В строке 5 дан IQ 83 для другой выборки иммигрантов из Суринама и с Нидерландских Антильских островов. В строке 6 приведён IQ 85 для взрослых иммигрантов из Суринама. В строке 7 представлен IQ 85 для иммигрантов с Нидерландских Антильских островов, население которых состоит на 85 процентов из африканцев и лиц со смешанной африканско-европейский родословной. Величины IQ, полученные в приведённых исследованиях, весьма сходны. Медианное значение составляет 85 баллов — такое же, как у африканцев в Соединенных Штатах.
Африканцы в Израиле
Некоторое количество эфиопских иудеев-африканцев мигрировало в Израиль в течение последних десятилетий двадцатого века. Каниель и Фишерман (Kaniel, Fisherman, 1991) оценили интеллект 15-летних испытуемых (п=250) с использованием стандартных прогрессивных матриц. Авторы пишут: «Эфиопские иудеи были протестированы спустя год после прибытия в Израиль. Все испытуемые были протестированы в группах в своих школах с использованием стандартной процедуры. Каждой группе демонстрировали тренировочный первый пункт теста и выполнили его вместе с ними. Особое внимание уделяли тому, чтобы удостовериться в том, что эфиопские иудеи поняли, как организован тест, и в их способности заполнить бланк ответов. Никаких временных ограничений не было» (стр. 28).
Авторы сделали ошибки при вычислении коэффициента интеллекта эфиопов. В моей работе представлены правильные значения (Lynn, 1994b). Средняя оценка в тесте составила 27, что эквивалентно первому процентилю по нормам британской стандартизации 1979 г. и значению IQ в 65 балов. Израильские данные были получены в 1989 г., a IQ британцев, как предполагается, за период с 1979 по 1989 г. возрос на 2 балла. Чтобы учесть это, необходимо ввести поправку на это увеличение, соответственно IQ эфиопских иудеев должен быть уменьшен до 63.
Второе исследование показателя интеллекта эфиопских иудеев было опубликовано Козулином (Kozulin, 1998). Оно было проведено среди 14-16-летних испытуемых, проживших в Израиле четыре или более лет и посещавших израильские школы-интернаты, для тестирования использовались прогрессивные матрицы. Средний IQ этих испытуемых составил 65 баллов. Эти результаты говорят о том, что образование в школах западного типа не способствует повышению IQ африканцев.
Кратковременная память и скорость восприятия у африканцев
До настоящего времени мы рассматривали интеллект африканцев в терминах фактора g (общий интеллект), способности к рассуждению, вербальных и визуализационных способностей. Рассмотрим теперь исследования кратковременной памяти и скорости восприятия африканцев. Кратковременная память обычно измеряется тестом повторения цифровых рядов (Digit Span), заключающемся в оценке способности запомнить и воспроизвести набор цифр либо в том порядке, в котором они были представлены (прямой Digit Span) или в обратном порядке (обратный Digit Span). Измерение скорости восприятия обычно проводится субтестами кодирования (Coding) и замещения символов цифрами (Digit Symbol) тестов Векслера, которые требуют точного и быстрого просмотра визуальной информации. Эти исследования показали, что у африканцев достаточно хорошие кратковременная память и скорость восприятия. Результаты работ приведены Таблице 4.7.
Таблица 4.7. Первичные способности африканцев

Сокращения: AR — абстрактное рассуждение; VR — вербальное рассуждение; Verb — вербальное понимание; Vis — визуализация; STM — кратковременная память; PS — скорость восприятия.
В строке 1 представлены величины IQ в 75 и 76 баллов для африканских 10-12-летних детей (п=1.123) в сравнении с европейскими (п=1.489) для невербального рассуждения и вербальной способности, измеренных с помощью теста Лорж-Торндайка; существенно более высокие оценки были получены для кратковременной памяти (IQ=90, тест Digit Span) и, особенно, для скорости восприятия (IQ=102). Авторы пишут по этому поводу: «При предъявлении теста, оценивающего только скорость, но не содержащего ощутимой когнитивной задачи, негритянские дети выполняют его так же хорошо или даже лучше, чем европейские» (Jensen, Rohwer, 1970, стр. 60). В строке 2 представлен типичный IQ в 85 балла для вербальной шкалы и шкалы действия теста WISC-R, предъявлявшегося 622 африканским детям 5-11-летнего возраста в сравнении с 669 европейскими, а также IQ кратковременной памяти в 94 балла как среднее значение оценок тестов прямой Digit Span (IQ=96) и обратный Digit Span (IQ=92). В строке 3 приведены оценки IQ африканских детей 12–18 лет, полученные из корпуса данных проекта «Талант»; согласно им IQ для кратковременной памяти (94 балла) является относительно высоким сравнительно с IQ для абстрактного рассуждения (89 баллов). В строке 4 дан IQ 94 для кратковременной памяти 5-9-летних детей африканских иммигрантов из Суринама в Нидерландах (п=183) в сравнении с европейскими детьми; тест состоял в предъявления десяти рисунков, каждому из которых было дано произвольное название, задача состояла в запоминании как можно большего числа названий. В строке 5 приведены оценки IQ африканских детей возраста 6-16 лет (п=711) относительно европейских детей (п=776) в 82 балла для вербальной способности, в 78 баллов для способности к визуализации и более высокое значение в 90 баллов для кратковременной памяти, измеренное тестом Digit Span. В строке 6 дан IQ в 94 балла для кратковременной памяти африканцев, полученный как результат мета-анализаданных 31 исследования детей и взрослых. В строке 7 приведены оценки первичных способностей испытуемых из Южной Африки. Авторы работы протестировали 1.093 африканца и 1.056 европеоидов 16-летнего возраста с помощью юношеского теста способностей, разработанного в Южной Африке и дающего оценки абстрактного рассуждения (AR), вербального рассуждения (VR), вербального понимания (Verb), визуализации (Vis), кратковременной памяти (STM) и скорости восприятия (PS); у испытуемых были оценены также механические способности, оценка составила 68 баллов. Как можно видеть, IQ кратковременной памяти африканцев (79 баллов) и скорости восприятия (69 баллов) выше способности к абстрактному рассуждению (58 балов) и вербальному рассуждению (63 балла), что подтверждает данные американских исследований. В этой выборке визуализация и механические способности также были более выражены, чем способность к абстрактному и вербальному рассуждению. В строке 8 дан IQ кратковременной памяти в 79 баллов для выборки из 196 10-летних детей на Ямайке в сравнении с оценкой в 67 баллов — медианой результатов семи исследований, приведённых в Таблице 4.3.
Дженсен (Jensen, 1998) интерпретировал эти и другие результаты как указывающие на то, что африканско-европейские различия в интеллекте являются в значительной степени различиями в факторе g Спирмена. Согласно этой теории, кратковременная память и скорость восприятия являются слабыми оценками фактора g, поэтому африканцы сравнительно успешны в таких тестах. Теория получила немало подтверждений, их обзор представлен в работе Раштона (Rushton, 2003), но также вызвала и некоторую критику со стороны Долана и Хамакера (Dolan, Hamaker, 2001).
Музыкальные способности
Часто высказывалось предположение о том, что у африканцев хорошие музыкальные способности и особенно выражено чувство ритма. Кажется, это было впервые сказано в четырнадцатом веке арабским автором Ибн Бутланом, который писал, что если бы африканцу «привелось упасть с неба на землю, он отбивал бы такт, падая вниз» (Lewis, 1990, стр. 94). Музыкальные способности связаны с интеллектом, так что интересно посмотреть, имеют ли африканцы хорошие музыкальные способности, часто им приписываемые, или же у них слабые музыкальные способности в соответствии с низкими оценками IQ, получаемыми ими в тестах интеллекта.
Музыкальные способности измеряются простыми тестами, такими как распознавание изменения высоты тона (нужно определить, выше или ниже один тон другого; в первых пробах различие между тонами велико, но постепенно тоны становятся ближе друг к другу, пока не станет крайне сложно определить, который выше); музыкальная память (мелодия играется дважды и при втором исполнении одна нота изменяется; задача состоит в том, чтобы определить, какая нота изменилась); анализ аккорда (определение количества нот в аккорде) и чувство ритма (играются два музыкальных произведения и нужно определить, в одном или в разных ритмах). Связь между интеллектом и музыкальными способностями была показана в двух исследованиях, выполненных Линном, Вильсоном и Голтом (Lynn, Wilson, Gault, 1986). В первом исследовании группе 10-летних детей (п=217) представляли ряд тестов на рассуждение, словарные способности, визуализацию и скорость восприятия вместе с четырьмя тестами музыкальных способностей (высота тона, музыкальная память, анализ аккорда и чувство ритма). Все тесты были положительно интеркоррелированы и имели нагрузки по первой главной компоненте как мере общего интеллекта (фактор g). Нагрузки четырех музыкальных тестов лежали в пределах от 0,45 (аккорды) до 0,59 (ритм). Это показывает, что музыкальные тесты являются мерой фактора g. Во втором исследовании 93 испытуемым 9-11-летнего возраста предлагали три теста музыкальных способностей (изменение тона, анализ аккорда и музыкальная память) вместе со стандартными прогрессивными матрицами, как мерой фактора g.Три музыкальных теста имели значимые корреляции с прогрессивными матрицами: 0,27; 0,40 и 0,37, соответственно. Это подтверждает, что музыкальные способности связаны с интеллектом. Новые свидетельства этой связи были представлены Кэрролом (Carroll, 1993).
Таблица 4.8. Музыкальный (MQ) и ритмовый (RQ) коэффициенты афроамериканцев

Исследования музыкальных способностей афроамериканцев проводились, но они малоизвестны, так как не были обобщены в базовых учебниках по интеллекту, например у Броди (Brody, 1992) или Макинтоша (Mackintosh, 1998) или же в специальных учебниках по расовым различиям в интеллекте, таких как Лоелина, Линдзи и Спулера (Loehlin, Lindzey, Spuhler, 1975) или Дженсена (Jensen, 1980, 1998). Общий вывод из этих исследований: афроамериканцы хуже европейцев выполняют тесты музыкальных способностей на различение высоты, различение тона и музыкальную память, но получают примерно одинаковые с европейцами оценки в тестах чувства ритма. Чтобы выявить эту структуру музыкальных способностей, результаты исследований были сгруппированы так, чтобы получить музыкальный коэффициент (MQ), выведенный из тестов музыкальных способностей за исключением чувства ритма и ритмовый коэффициент (RQ). Результаты этих исследований приведены в Таблице 4.8.
В строке 1 приведены результаты тестирования большой группы афроамериканцев в Северной Каролине, Южной Каролине и Виржинии с помощью теста Сишора. По данным тестирования был вычислен MQ (музыкальный коэффициент) в 90 баллов и более высокий RQ (ритмовый коэффициент) в 106 баллов. В строке 2 представлены результаты сравнения 272 европейцев и 288 афроамериканцев, обучавшихся в колледжах штата Теннеси, они вновь показывают, что европейцы получают более высокие оценки в тестах общих музыкальных способностей (высота тон, интенсивность, время звучания, гармония (iconsonance) и общая музыкальная память), но афроамериканцы получили более высокую оценку RQ (ритмовый коэффициент) -102 балла. В строке 3 представлены результаты обследования выборки из бедного пригорода Вашингтона, округ Колумбия, выявившего MQ 83 и RQ 96 баллов. В строке 4 приведены результаты для группы афроамериканцев возраста 5–8 лет из Рочестера в штате Нью-Йорк: MQ в 89 и RQ в 104 балла. В строке 5 даны результаты тестирования выборки 18-летних афроамериканцев (старшеклассников средней школы в основном из Техаса, но некоторые были из Иллинойса и Рочестера штата Нью-Йорк), получен MQ в 86 (по тестам тональной памяти и различения высоты тона) и RQ в 100 баллов. Группой сравнения были европеоиды (п=541), посещавшие те же школы. Все исследования показывают, что у афроамериканцев ритмовый IQ существенно выше общего музыкального IQ — примерно на 15 баллов. По-видимому, музыкальные способности африканцев не изменились примерно за полувековой период с 1920-х до конца 1970-х гг., в который проводились исследования. Сравнительно хорошее чувство ритма африканцев выражено в их музыке, в которой часто присутствует сильный ритмический элемент. Это особенно заметно в гимнах, исполняемых конгрегациями в африканских и афроамериканских церквях. Также это проявляется в джазе, который первоначально был создан афроамериканцами в Новом Орлеане в первые годы двадцатого столетия, и в развившемся из него впоследствии направлении «свинг», с его сильно синкопированными ритмами.
Несколько близнецовых исследований показали, что музыкальные способности имеют генетическую основу. Например, Ванденберг (Vandenberg. 1962), изучавший наследуемость «ритмовой способности», оцененной по корреляциям 33 пар однояйцовых и 43 пар разнояйцовых близнецов одного пола, вычислил уровень наследуемости в 0,52 (без поправки на ошибку измерения). При такой величине наследуемости представляется вероятным, что слабые музыкальные способности и высокая ритмовая способность африканцев имеют некоторое генетическое основание.
Слабые музыкальные способности африканцев, за исключением их выраженного чувства ритма, согласуются с их в целом скромными достижениями в классической музыке. Нет африканцев — композиторов, дирижеров или музыкантов первого ранга, нечасто можно увидеть африканских исполнителей и в ведущих симфонических оркестрах.
Время реакции
Время реакции представляет собой скорость реакции на простой стимул, такой, как вспышка света. Задача состоит в том, чтобы нажать кнопку в тот момент, когда это происходит. Время реакции — время, потраченное на ответ, оно составляет обычно около трети секунды. Результаты большого количества исследований, представленных в монографиях Дженсена (Jensen, 1998) и Дири (Deary, 2000), показали, что время реакции положительно связано с интеллектом, значение корреляции составляет от 0,2 до 0,3. Как убедительно аргументировал Дженсен (Jensen, 1998), время реакции является мерой неврологической эффективности обработки информации мозгом. Это побуждает нас задаться вопросом, не сопровождаются ли различия интеллекта между европейцами и африканцами также и различиями во времени реакции. Если да, то это означает, что расовые различия в эффективности деятельности мозга существуют. Если нет, это означает, что расовые различия в эффективности работы мозга отсутствуют и различия в интеллекте обусловлены другими факторами, такими как разница в возможностях научения решению тестовых задач, образовательный опыт или смещённость тестов.
Наиболее исчерпывающие исследования африканско-европейских различий во времени реакции были выполнены Дженсеном (Jensen, 1993) в Соединенных Штатах, а также Линном и Холмшоу (Lynn, Holmshaw, 1990) и Сонке (Sonke, 2000) в Южной Африке. Дженсен сравнивал 585 европейцев и 235 африканцев 10-летнего возраста, коэффициенты интеллекта которых по оценке с использованием прогрессивных матриц различались на 11 баллов IQ. В исследовании Линна и Холмшоу сравнивались 350 африканцев и 239 британцев 9-летнего возраста, интеллект которых различался на 37 баллов IQ. В обоих исследованиях был использован один и тот же управляемый компьютером аппарат, так что «человеческий фактор» не мог повлиять на результат измерения. В обоих исследованиях измерялись двенадцать компонентов времени реакции. Было измерено время трёх видов реакции: время простой реакции (SRT), представляющее собой реакцию на единственную вспышку света, время реакции различения (CRT), когда надо реагировать на одну из восьми возможных вспышек, и время реакции на «третьего лишнего» (OMRT), когда надо реагировать на наиболее отстоящую от двух других вспышку. В каждой из этих трёх реакций фиксировались четыре показателя: собственно время реакции (время принятия решения), время движения (время, потраченное на нажатие кнопки) и стандартные отклонения (SD) времени реакции и движения. Полученные результаты приведены в Таблице 4.9.
Таблица 4.9. Корреляции между временем реакции и IQ, и различия во времени реакции между африканцами и европейцами

В колонке 1 указаны различные меры времени реакции. В колонках 2 и 3 приведены данные Дженсена по корреляции времени реакции с величиной IQ, оцененной по прогрессивным матрицам и различия между африканцами и европейцами (в d-единицах стандартного отклонения); отрицательные знаки означают разницу «в пользу» европейцев. В колонках 4 и 5 даны такие же показатели из работы Линна и Холмшоу. Корреляции между временем реакции и IQ устойчиво положительны во всех случаях, 16 из 24 корреляций статистически значимы (отмечены звездочками), но коэффициенты корреляции очень низки. Время реакции, приведённое в строках 1, 5 и 9, было меньше у европейцев, чем у африканцев, за исключением CRT в работе Дженсена. Время простого движения не различалось, но по данным Линна и Холмшоу африканцы были значительно быстрее европейцев как по СМТ, так и по ОММТ. Более быстрые движения африканцев могут быть фактором, определяющим их высокую спринтерскую скорость, засвидетельствованную олимпийскими рекордами. Стандартные отклонения были устойчиво больше у африканцев по данным Линна и Холмшоу, и в четырех из шести случаев по данным Дженсена. В целом, африканско-европейские различия намного больше и более устойчивы по данным Линна и Холмшоу, чем по данным Дженсена. Этого можно было ожидать ввиду того, что в исследовании Линна и Холмшоу разница в интеллекте между сопоставляемыми группами была приблизительно в четыре раза больше. Однако, согласно данным Линна и Холмшоу среднее арифметическое различий шести показателей времени реакции и стандартных отклонений между африканцами и европейцами составляет только 0,67dв сравнении с различием в IQ 2,5d.Наилучшее объяснение этих результатов состоит в том, что приблизительно четверть африканско-европейского различия в интеллекте может быть объяснена скоростью неврологической обработки, в то время как остальная часть должна быть приписана другим процессам.
Хотя наследуемость времени реакции составляет около 50 процентов (Deary, 2000), на неё также влияет питание. В одном итальянском исследовании было показано, что у детей возраста 6-10 лет из йодо-дефицитных местностей было замедлено время реакции и снижены показатели IQ (Vitti и др., 1992). О замедленном времени реакции у детей из йодо-дефицитных местностей также сообщалось Бличродтом и соавторами (Bleichrodt и др., 1987).
Сонке (Sonke, 2000) опубликовал результаты обследования трёх групп: 26 неграмотных африканцев из Южной Африки 16-летнего возраста со «всего лишь несколькими классами образования», 29 африканских студентов из университета Венда в Северном Трансваале и 30 европейских студентов — голландцев из университета Тилберга. В этих трёх группах оценивали интеллект (по прогрессивным матрицам Равена) и измеряли время простой и сложной реакции, фиксировали также длительность латентного периода вызванного потенциала (РЗ) на ЭЭГ в ответ на представленный стимул, как меру скорости регистрации стимула мозгом. Количество мужчин и женщин было одинаковым во всех трёх группах. Полученные результаты приведены в Таблице 4.10.
Таблица 4.10. Времена реакции и ЭЭГ африканцев и европейцев

В строке 1 приведены коэффициенты интеллекта трех групп. В строке 2 дано среднее время простой реакции (RT-S), самыми «медленными» были неграмотные африканцы, самыми «быстрыми» — европейские студенты. В строке 3 представлено время сложной реакции (RT-C), различия между группами аналогичны. В строке 4 приведён латентный период вызванного потенциала для задачи В1 (EEG), самый длительный латентный период был у неграмотных африканцев, самый короткий — у европейских студентов. Все различия между группами были статистически значимыми.
В этом исследовании имеются шесть интересных моментов. Во-первых, IQ неграмотных африканцев по результатам тестирования с помощью прогрессивных матриц составил 68 баллов, что очень близко к значениям для большого количества выборок африканцев из Южной Африки и других стран в районах южнее Сахары. Во-вторых, у африканцев — студентов университетов IQ был несколько выше (82 балла), что также сходно с IQ других выборок африканских студентов университетов Южной Африки. В-третьих, выявлены значимые различия между группами во времени реакции, что подтверждает результаты других исследований, представленные в этой главе. В-четвертых, выявлены существенные африканско-европейские различия вызванных потенциалов ЭЭГ, указывающие на то, что у европейских студентов мозг реагирует на стимул быстрее, чем у африканских. В-пятых, имеется статистически значимая корреляция (0,213) между временем сложной реакции и результатом по прогрессивным матрицам, подтверждающая результаты многих других исследований этой связи. И, в-шестых, корреляция между результатом по прогрессивным матрицам и вызванными потенциалами ЭЭГ не является статистически значимой. Различия между неграмотными африканцами и африканскими студентами во времени реакции и вызванных потенциалах следует, вероятно, отнести на счёт более высокого IQ студентов.
Размер мозга африканцев и европейцев
Исследования, показывающие, что у африканцев средний размер мозга меньше, чем у европейцев, представлены в Таблице 4.11.
Размеры мозга в таблице приведены в кубических сантиметрах (в эти единицы были пересчитаны кубические дюймы, в которых представляли данные Мортон и Гулд, и граммы, в которых проводил измерения Хо (Но и др., 1980)). Нужно отметить, что оценки объёма черепа до некоторой степени зависят от метода измерения. Объём черепа измеряют, наполняя его свинцовой дробью или семенем горчицы и измеряя объём дроби или семени. Свинцовая дробь даёт немного больший объем, чем семя горчицы, так как не может быть сжата так же плотно. У живых людей объём мозга вычисляют по длине, ширине и высоте головы или по её окружности. Использование разных методов измерения объясняет некоторые из различий, полученных в исследованиях. Несмотря на использование разных методов измерения, результаты различных исследований в значительной степени согласуются. В Таблице 4.11 приведены результаты восьми исследований размера мозга в выборках европейцев и африканцев и различия между средними значениями.
Таблица 4.11. Размер мозга (см3) у европейцев и африканцев

Все исследования показывают, что у европейцев средний размер мозга больше, чем у африканцев. В строке 1 приведены результаты первого исследования, выявившего различия в размере мозга у африканцев и европейцев, опубликованного в девятнадцатом столетии американским врачом Сэмюэлем Мортоном (Morton, 1849), собравшим коллекцию черепов, распределившим их по расам и вычислившем их средние объёмы. Его результаты критиковались Гулдом (Gould, 1996), обвинившем его в преувеличении значений с целью показать, что у европейцев мозг больше, чем у африканцев. Гулд повторно вычислил размеры черепов коллекции Мортона и получил очень близкие результаты. В таблице приведены значения, полученные Гулдом. Он отклонил различие в 41 см3 как незначительное. Характерно, что Гулд не сослался ни на одно из других исследований, которые все подтвердили выводы Мортона и в которых были выявлены ещё большие различия. Отметим, что количество черепов в коллекции Мортона (52 черепа европейцев и 29 черепов африканцев) было весьма небольшим в сравнении с другими исследованиями.
В строке 2 даны результаты исследования намного большей коллекции черепов, хранящихся в Университете Западного Резерва в Огайо, различие в размере мозга между африканцами и европейцами составило 50 см3. В строке 3 приведены результаты, представленные ревностным сторонником эгалитаризма Тобиасом, утверждающим, что расовых различий в размере мозга нет, хотя в действительности его результаты демонстрируют ещё большее африканско-европейское различие, чем у Мортона. В строке 4 представлены данные, полученные при вскрытии трупов в Соединенных Штатах, показавшие большее, чем в других исследованиях, африканско-европейское различие — 103 см3. В строке 5 приведены результаты измерений наибольшей коллекции черепов, примерно 20 тысяч со всех континентов, выполненных американским антропологом Кеннетом Билсом. В строке 6 представлены результаты расчётов, выполненных Гровсом (Groves, 1991) на основе объединения оценок объёма мозга 36 выборок мужчин из данных Куна, Молнара и Мартина, а также Сэллера. Эти результаты вновь показывают, что у европейцев средний объём мозга больше, чем у африканцев. В строке 7 приведены результаты для военнослужащих в Соединенных Штатах, скорректированнные на рост и вес. Размер мозга европейцев был практически идентичен определённому Хо и соавт. (строка 4), но размер мозга африканцев был существенно больше: 1.359 см3 по сравнению с 1.267 см3. Объяснение этому состоит в том, что американские военные власти оценивают интеллект поступающих на военную службу и отклоняют тех, у кого IQ ниже 81 (Nyborg и Jensen, 2000). Флинн определил (Flynn, 1980), что доля не принятых на военную службу из-за низкого IQ составляет 3,4 процента для европейцев и 30 процентов для африканцев, в результате этого средний IQ африканцев в вооруженных силах США составляет 91,5. В результате отказа в приёме на военную службу африканцам с низким IQ происходит отсев тех из них, кто обладает низким интеллектом и малым объёмом мозга, что делает африканско-европейское различие размера мозга в этой выборке намного меньше, чем в других. В строке 8 приводится средний размер мозга для шести выборок европейцев мужского пола из Северной Америки и Европы и двух выборок из районов Африки южнее Сахары; данные компилированы Юргенсом, Ауне и Пипером (Jurgens, Aune, Pieper, 1990) и проанализированы Раштоном (Rushton, 2000, стр. 124), выявлено преимущество европейцев в 109 см3. Все восемь наборов данных свидетельствуют о том, что у европейцев размер мозга больше, чем у африканцев. Результаты является достаточно согласующимися, принимая во внимание то, что они были собраны с использованием разных методов и на различных видах выборок, включая паталогоанатомические исследования (Но и др., 1980), определение объема черепа (Reals и др., 1984) или внешние обмеры головы живых людей.
Эти результаты были подкреплены другим крупномасштабным исследованием, выполненным Броманом и соавторами (Broman и др., 1987) среди детей. Они наблюдали и обследовали приблизительно 17 тыс. европейских и 19 тыс. африканских детей в Соединенных Штатах в период от зачатия до возраста 7 лет. К 7 годам типичный разрыв в интеллекте двух групп составлял приблизительно 15 баллов IQ. В этом возрасте окружность головы, рассчитанная на основе опубликованных данных, составляла 50,9 см (станд. откл. 1,6) у африканцев и 51,7 см (станд. откл. 1,6) у европейцев. Это различие статистически высоко значимо и даёт приближённую меру различий в размере мозга, так как корреляция окружности головы и размера мозга составляет около 0,8 (Brandt, 1978). Объём мозга был оценен Раштоном (Rushton, 1997) в 1.134 см3 у африканцев и 1.150 см3 у европейцев. Это различие намного меньше, чем в других выборках вероятно потому, что европейцы созревают позже, чем африканцы. Наблюдавшиеся в этом исследовании африканские дети были немного более рослыми, чем европейские, что даёт основание предположить, что возможные различия в питании вряд ли ответственны за различия в размере головы.
Показатели интеллекта африканско-европейских гибридов
Теперь мы рассмотрим исследования интеллекта африканско-европейских гибридов. Генетическая теория расовых различий предсказывает, что величина IQ межрасовых гибридов должна попасть примерно на середину интервала между европейцами и африканцами. Чтобы проверить это предсказание, мы суммировали результаты исследований африканско-европейских расовых гибридов в Таблице 4.12.
В строке 1 приведены полученные в Бразилии результаты, показывающие, что гибриды, известные как «коричневые», имеют промежуточные оценки между европейцами и африканцами. В строке 2 представлены результаты исследования в Германии (Eyferth, 1961), показавшего, что IQ африканско-европейских гибридных детей составлял 94 балла относительно 100 у европейских детей. Средний IQ африканско-европейских гибридов составил 96,5, но он был уменьшен в таблице до 94, чтобы учесть долговременное увеличение IQ со времени стандартизации. В строке 3 приведены данные из Южной Африки для европейцев, африканцев и цветных, являющихся в значительной степени африкано-европейскими гибридами. Величина IQ цветных (83 балла) оказалась точно посредине интервала между европейцами (100 балла) и африканцами (65 баллов).
Таблица 4.12. Показатели интеллекта европейцев, африканско-европейских гибридов и африканцев

В строке 4 приведены результаты более свежего исследования в Южной Африке, проведённого примерно шестьдесят лет спустя и выявившего в выборке цветных IQ в 86 баллов в сравнении со 100 баллами европейцев. Африканцы не были включены в это исследование, но IQ цветных в 86 баллов был намного выше, чем у чистокровных африканцев в Южной Африке. В строке 5 приведены результаты последующего исследования в Южной Африке, давшего оценку IQ цветных в 80 баллов.
В строках 6–9 даны четыре результата для гибридов в Соединенных Штатах Америки. В строке 6 приведены результаты Миннесотского исследования межрасового усыновления; полученная оценка IQ гибридов находится посредине между оценками афроамериканцев и европейцев. Численности выборок очень низки, но результаты информативны, потому что все три группы воспитывались европейскими приёмными родителями, что исключает любую разумную средовую интерпретацию различий. В строке 7 представлены другие данные из Соединенных Штатов, еще раз указывающие на то, что гибриды имеют промежуточные оценки IQ между европейцами и афроамериканцами (результаты этого исследования были представлены Лоэлином, Линдзи и Спулером — Loehlin, Lindzey, Spuhler, 1975). В строке 8 даны результаты ещё одной работы из Соединенных Штатов. Её авторы разделяли афроамериканцев на темнокожих и менее темнокожих и показали, что обладающие относительно светлой кожей афроамериканцы, что принимали за показатель гибридизации с европейцами, имели IQ 92 — среднее значение между европейцами и африканцами. Представленный в строке 9 последний результат показывает, что гибриды афроамериканцев с европейцами имеют IQ 97 и вновь оказываются в промежутке между афроамериканцами и европейцами.
Наследуемость интеллекта у афроамериканцев
Было проведено три исследования наследуемости интеллекта афроамериканцев в Соединенных Штатах. Все они были выполнены посредством сравнения монозиготных (Mz) и дизиготных близнецов (Dz). Результаты представлены в Таблице 4.13.
В таблице приведены возраст испытуемых, количество монозиготных (Mz) и дизиготных (Dz) близнецов, корреляции между парами близнецов, наследуемость, полученная путём удвоения разницы между корреляциями Mz и Dz, и исправленная наследуемость, скорректированная на уменьшение показателя наследуемости в силу не стопроцентной надёжности теста, принимая надёжность теста в 0,9.
Таблица 4.13. Наследуемость интеллекта у афроамериканцев

В строке 1 представлены данные Лоэлина, Линдзи и Спулера (Loehlin, Lindzey, Spuhler, 1975), полученные из докторской диссертации П. Л. Николса для 4-летних испытуемых, обследованных с помощью теста Стенфорд-Бине. Они дают исправленную наследуемость в 0,56-немного выше, чем у европейцев того же возраста. В строке 2 приведены данные из работы Осборна (Osborne, 1980, стр. 72) для общего интеллекта, вычисленного как среднее значение результатов двенадцати тестов; согласно им величина исправленной наследуемости оказалась равной 1,00. В строке 3 приведены результаты тестирования с помощью прогрессивных матриц (Scarr, 1981, стр. 282), согласно которым уровень исправленной наследуемости равен 0,60. Объединение результатов трёх работ даёт наследуемость интеллекта у афроамериканцев 0,72, она более высока у подростков (2 исследования), чем у 4-летних детей. Наследуемость интеллекта у афроамериканцев практически такая же, что и у европейцев (см. Главу 3).
Генетические и средовые объяснения низкого интеллекта африканцев
Вопрос о вкладах наследственности и среды в низкий IQ африканцев обсуждается с первых десятилетий двадцатого века, особенно в связи с проблемой низких показателей интеллекта афроамериканцев в Соединенных Штатах. Этой проблеме были посвящены сотни статей и множество книг, невозможно рассмотреть их все в достаточной мере. По рассматриваемому вопросу имеются три точки зрения:
Различие IQ между чернокожими и белыми полностью детерминировано средой или же, по крайней мере, нет убедительных свидетельств какого-либо вклада генетического фактора в низкий IQ чернокожих. Этой позиции придерживаются Флинн (Flynn, 1980), Макинтош (Mackintosh, 1998), Нисбетт (Nisbett, 1998), Фиш (Fish, 2002), Броди (Brody, 2003) и многие другие.
Различие IQ определено комбинацией генетических и средовых факторов. Эту позицию занимают Лоэлин, Линдзи и Спулер (Loehlin, Lindzey, Spuhler, 1975), Вернон (Vernon, 1979), а также Вальдман, Вайнберг и Скарр (Waldman, Weinberg, Scarr, 1994, стр. 31), выполнившие одно из наиболее важных исследований по этой проблеме, в котором изучался IQ чернокожих детей, усыновлённых белыми супругами.
Различие IQ детерминировано преимущественно генетически. Эту точку зрения приняли Гаррет (Garrett, 1945,1961); Мак Гурк (McGurk, 1953а, 1953b), показавший, что при тестировании чернокожих и белых одинакового социально-экономического статуса чернокожие получают оценку IQ на 7,5 баллов ниже, чем белые; Каттнер (Kuttner, 1962), утверждавший, что различия в интеллекте между чернокжими и белыми отражаются в особенностях постройки зданий ранних цивилизаций; Шу (Shuey, 1966), который впервые свёл воедино результаты работ по изучению различий IQ чернокожих и белых (с 1916 до 1965 гг.); Осборн и Мак Гурк (Osborne, McGurk, 1982), дополнившие компиляцию Шу данными, полученными за период 1966–1980 гг., и Дженсен (Jensen, 1969, 1974, 1980, 1998), внесший огромный вклад в разработку этой проблемы и пришедший к заключению, что приблизительно две трети различия IQ между чернокожими и белыми в США обусловлено генетическими факторами. Другими авторами, принявшими преимущественно генетическую теорию, являются Шокли (Shockley, 1969), Айзенк (Eysenck, 1971), Бейкер (Baker, 1974), Леви (Levin, 1997), Раштон (Rushton, 2003) и автор настоящей книги (Lynn, 1994с, 2001).
Имеется шесть основных доводов в пользу присутствия некоторой генетической детерминации различия интеллекта африканцев и европейцев.
Во-первых, две расы эволюционировали независимо в различной среде обитания в течение приблизительно 100.000 лет (Mellars, Stringer, 1989; Cavalli-Sforza, 2000). Когда две популяции эволюционируют в условиях почти совершенной изоляции друг от друга в течение такого периода времени, между ними неизбежно развиваются генетические различия по всем признакам, подверженным генетической изменчивости. Эти различия развиваются в результате дрейфа генов, мутаций, эффекта основателя и, что наиболее важно, адаптации к различной среде обитания. Крайняя точка зрения сторонников средовой теории, состоящая в том, что нет никакого генетического различия между двумя расами в отношении интеллекта, бросает вызов этому основному принципу эволюционной биологии и должна быть отведена.
Во-вторых, постоянство, с которым африканцы получают низкие оценки IQ в самых различных местах проживания, может быть объяснено только действием сильного генетического фактора. Если бы за различия IQ разных популяций были ответственны только средовые факторы, то можно было бы ожидать найти некоторые страны, где бы африканцы получали более высокие оценки IQ, чем европейцы. То, что ни одной такой страны найти не удалось, указывает на присутствие сильного генетического фактора.
В-третьих, высокая наследуемость интеллекта, обнаруженная в близнецовых исследованиях чернокожих и белых в Соединенных Штатах, в Европе, Японии и в Индии, указывает на то, что интеллект в значительной степени определён генетическими факторами и делает маловероятным предположение, что различия между африканцами и европейцами или между любыми другими двумя расами могут быть детерминированы исключительно средовыми факторами.
В-четвертых, различие размера мозга между чернокожими и белыми указывает на генетическую детерминацию, учитывая высокую наследуемость размера мозга (примерно 0,9) и корреляцию между размером мозга и интеллектом (приблизительно 0,4).
В-пятых, некоторые эгалитаристы утверждают, что белый расизм может быть ответственным за снижение IQ чернокожих. Так, Вайнберг, Скарр и Вальдман пишут, что полученные ими данные о низком IQ чернокожих детей, усыновлённых белыми, «могут быть индикатором средовых влияний, таких как всепроникающее влияние расизма в американской жизни» (Weinberg, Scarr, Waldman, 1992, стр. 41) и «результаты оценки IQ совместимы с расово-ориентированными средовыми влияниями в том, что касается порядка групповых средних» (там же, стр. 40). Макинтош (Macintosh, 1998, стр. 152) также возвращается к белому расизму в своей последней попытке обоснования того, что низкий IQ чернокожих приёмных детей может объясняться влиянием среды и предполагает, что вероятно «именно опыт жизни, будучи чёрным, в обществе, пропитанном белым расизмом, ответственен за снижение оценок IQ у чёрных детей», Эти эгалитаристы не объясняют, как гипотетический белый расизм мог снизить интеллект чернокожих детей, воспитанных белыми приёмными родителями из среднего класса. Нет никакого известного или вероятного механизма, посредством которого предполагаемый белый расизм мог бы понизить IQ чернокожих. Не пытаются они объяснить и то, как получается, что повсеместно в Африке южнее Сахары у африканцев, которые не подвергаются действию белого расизма, кроме как в Южной Африке, IQ составляет приблизительно 67 баллов.
Более того, если расизм снижает интеллект, то поразительно, что у евреев в Соединенных Штатах и Великобритании коэффициент интеллекта составляет около 108, как показано Линном (Lynn, 2004), хотя евреи в некоторой степени испытывали действие расизма в течение многих столетий. О высоком IQ американских евреев хорошо известно с 1930-х гг., данные широко публиковались Сторфером (Storfer, 1990), Мак Дональдом (MacDonald, 1994) и Хернсгайном и Мюрреем (Hermstein, Murray, 1994), но они удивительным образом остаются незамеченными сторонниками средовой теории, такими как Флинн (Flynn, 1980), Броди (Brody, 1992,2003), Найссер (Neisser, Макинтош (Macintosh, 1998), Дженкс и Филлипс (Jencks, Phillips, 1998), Нисбетт (Nisbett, 1998), Монтагю (Montagu, 1999) и Фиш (Fish, 2002).
В-шестых, Миннесотское исследование межрасового усыновления, выполненное Вальдманом, Скарр и Вайнбергом (Waldman, Scarr, Weinberg, было призвано показать, что в случае усыновления чернокожих младенцев белыми приёмными родителями они будут иметь такой же IQ, как белые. Авторы этого исследования изучили группы чернокожих, белых и расово-смешанных младенцев, все они были усыновлены белыми супругами среднего класса. В итоге оказалось, что к возрасту 17 лет IQ составлял 89 у чернокожих, 98 у межрасовых гибридов и 106 у белых. Таким образом, разрыв в 17 баллов IQ между чернокожими и белыми остаётся и тогда, когда они воспитываются в одинаковых условиях. Воспитание белыми приёмными родителями не оказывало положительного влияния на интеллект чернокожих детей, так как их IQ составлял 89 баллов, то есть был таким же, как у чернокожих в северных и центральных штатах США, откуда были родом младенцы. Межрасовая группа с её IQ в 98 баллов оказалась посредине между чернокожими и белыми, что предсказуемо, исходя из генетической природы различия. Полный анализ и обсуждение этого исследования были даны в работах Леви (Levin, 1994) и Линна (Lynn, 1994с), вместе с неубедительным ответом Вальдмана, Скарр и Вайнберга (Waldman, Weinberg, Scarr, 1994, стр. 43), в котором они утверждают, что «мы чувствуем, что баланс свидетельств, хотя и не окончательный, благоприятствует теории преобладания средовой этиологии расовых различий в интеллекте и что бремя доказательств лежит на тех исследователях, которые высказываются в пользу преобладания генетической природы расовых различий». Заметьте, что использование ими термина «преобладание средовой этиология» говорит о признании ими того, что генетические факторы также присутствуют.
Хотя результаты этого исследования показывают, что различия семейных условий не могут объяснить низкий IQ чернокожих, остаётся возможным предположить, что для чернокожих характерны худшие пренатальные условия как результат более плохого питания беременных чернокожих женщин или, вероятно, выкуривания большего количенства сигарет, что могло бы нарушить рост мозга эмбриона. Эти возможности предоставляются неправдоподобными, если учесть результаты исследований, показавших, что питание чернокожих американцев в течение двадцатого столетия было не хуже, чем у белых (см. Главу 13, Параграф 7). Другая возможность состоит в том, что у чернокожих младенцев мозг мог в большей степени повреждаться вследствие того, что чернокожие беременные женщины, может быть, выкуривают больше сигарет, так как есть свидетельства о том, что курение замедляет рост плода. Это предположение также представляется неправдоподобным, так как многочисленными исследованиями показано, что чернокожие курят меньше, чем белые.
Интересно отметить, что, несмотря на приверженность Вальдмана, Скарр и Вайнберга эгалитарным взглядам, они заключают, что их данные указывают на то, что и генетические и средовые факторы вносят вклад в различие IQ чернокожих и белых: «Мы думаем, что чрезвычайно неправдоподобно то, что эти различия определяются исключительно генетически или исключительно средой» (стр. 31). Таким образом, хотя в их данных нет ничего, что могло бы подтвердить данное заключение, так как они не представляют подтверждений какого либо вклада среды в низкий IQ чернокожих, их окончательная позиция существенно не отличается от взглядов Дженсена (Jensen, 1969), полагающего, что и генетические, и средовые факторы ответственны за низкий IQ чернокожих. Но в то время, как Дженсен предположил, что относительный вклад генетических факторов равняется примерно двум третям, а средовых — одной трети, Вальдман, Скарр и Вайнберг делают вывод лишь о вовлечении обоих факторов, хотя представляют количественную оценку вкладов соответствующих факторов.
В действительности, результаты Миннесотского Исследования Межрасового Усыновления показывают, что оба вывода неверны. Заключение, которое должно быть сделано из этого исследования состоит в том, что воспитание чернокожих детей в условиях жизни белой семьи среднего класса никак не влияет на их IQ к 17 годам.
Оценка генотипного IQ африканцев
Величины IQ в популяциях африканцев в Африке южнее Сахары на уровне около 67 баллов, приведённые в Таблице 4.1, являются функцией как генетических, так и средовых факторов. Теперь мы предпримем попытку оценить генотипный IQ африканцев. Генотипный IQ — это такой IQ, какой имели бы африканцы, если бы они были помещены в одинаковые с европейцами условия. Отправной точкой этого анализа является Миннесотское Исследование Межрасового Усыновления, результаты которого приведены в разделе 14 и которое показало, что различие IQ афроамериканцев и европейцев в 17 баллов сохраняется и тогда, когда они воспитываются в одинаковых семейных условиях. Из этого следует вывод о том, что различие IQ афроамериканцев и европейцев в Соединенных Штатах полностью генетически детерминировано. Хотя в рассматриваемом исследовании выявлено африканско-европейское различие IQ в 17 баллов, резонно предположить, что истинное афро-американско-европейское различие составляет 15 баллов, как это показано результатами многочисленных исследований, приведёнными в Таблице 4.4, и что различие в 17 баллов, полученное в данном исследовании, являются ошибкой выборки. Поэтому мы делаем вывод о том, что генотипный IQ афроамериканцев на 15 баллов ниже, чем у американских европеоидов. Следующий аргумент в пользу того, что IQ афроамериканцев полностью определён генетически состоит в том, что он остаётся постоянным в течение приблизительно 80 лет, несмотря на значительное улучшение их жизненных условий относительно европейцев.
Заключение о том, что афроамериканцы имеют генотипный IQ в 85 баллов, не означает, что у африканцев в Африке южнее Сахары генотипный IQ также составляет 85 баллов. Афроамериканцы не чистые африканцы, а являются гибридным населением с существенной долей европейских предков. Эта доля была оценена в 25 процентов Ридом (Reed, 1971) и Чак — раборты и соавт. (Chakraborty и др., 1992). Мы можем оценить, что у чистых африканцев в Африке и в Соединенных Штатах генотипный IQ равен 80, и что этот IQ увеличивается на 0,2 балла IQ на каждый процент генов европеоидов. Таким образом, у среднего афроамериканца IQ будет составлять 85 (80 + 25 х 0,2 = 85), такое значение подтверждено многочисленными исследованиями, приведёнными в Таблице 4.4. В Юго-Восточных штатах процент европейских генов у афроамериканцев весьма низок. Например, в Южной Каролине он был оценен в 6 процентов (Workman, 1968), а в Джорджии в 11 процентов (Reed, 1969). Такая примесь европейских генов должна поднять их IQ на 1,2 и 2,2 балла соответственно, приводя к значениям IQ в 81,2 и 82,2. Это предсказание было подтверждено исследованием 1.800 афроамериканцев в пяти Юго-Восточных штатах (Kennedy, Van der Reit, White, 1963), в котором их IQ оказался равным 80,7 баллам по тесту Стенфорд-Бине 1960 г.
У афроамериканцев с 50-процентной примесью европейских генов IQ составит 90 (80 + (50 х 0,2 = 10} = 90). Это примерно средний IQ афроамериканцев в Северных штатах, где доля европейских предков приближается к 50 процентам. У афроамериканцев с 75 процентами европейских генов IQ будет на 15 баллов выше и составит 95 (80 + (75 х 0,2 = 15} = 95), что очень близко к показателю интеллекта 94 у расово-смешанных детей в Миннесотском Исследовании Межрасового Усыновления. У европейцев с 100 процентами европейских генов IQ будет 100 баллов.
Оценка генотипного IQ африканцев в 80 баллов означает, что средний IQ, который получили бы африканцы, если бы условия их существования были такими же, как у европейцев, составил бы 80 баллов. Везде в Африке южнее Сахары средний IQ африканцев равен приблизительно 67 баллам. Таким образом, можно заключить, что неблагоприятные условия существования в Африке южнее Сахары уменьшают IQ африканцев примерно на 13 баллов.
Более 800 000 книг и аудиокниг! 📚
Получи 2 месяца Литрес Подписки в подарок и наслаждайся неограниченным чтением
ПОЛУЧИТЬ ПОДАРОК